阿摩線上測驗
登入
首頁
>
微積分
> 96年 - 096年高等三級暨普通氣象(高考)#37574
96年 - 096年高等三級暨普通氣象(高考)#37574
科目:
微積分 |
年份:
96年 |
選擇題數:
0 |
申論題數:
8
試卷資訊
所屬科目:
微積分
選擇題 (0)
申論題 (8)
【已刪除】一、求
。 (10 分)
二、求 f (x, y, z)= e
−xyz
在橢球面 x
2
+ y
2
+ 2z
2
=1上之最大值。 (10 分)
三、計算球面 x
2
+ y
2
+ z
2
=a
2
在x y平面之上及柱狀面x
2
+ y
2
= ax內部之曲面面積。 (10 分)
【已刪除】四、計算體積分∫∫∫ E xyzdV ,其中E 為橢圓球體
在第一卦限(x ≥ 0, y ≥ 0,z ≥ 0) 之部分。 (10 分)
【已刪除】五、
,說明為何
為一保守向量場,並尋求一函數φ(x, y) 使得 ∇φ =
。 (15 分)
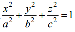
【已刪除】六、令E 為橢球
,平面z = 0及z = b(b < c)所包含之區域,S 為E 之表 面,
為S 上外向單位法向量,α,β,γ 分別為
至x, y,z三坐標軸之夾角。 試利用散度定理(Divergence Theorem)求下列曲面積分:
。 (15 分)
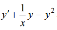
【已刪除】七、求 Bernoulli 方程
之通解。 (15 分)
【已刪除】八、求 Euler 方程
之通解。 (15 分)
相關試卷
114年 - 114 公務升官等考試_薦任_物理:微積分#133273
114年 · #133273
114年 - 114 一般警察特種考試_三等_消防警察人員:微積分#127792
114年 · #127792
113年 - 113 普通考試_天文:微積分#121499
113年 · #121499
113年 - 113 一般警察特種考試_三等_消防警察人員:微積分#120498
113年 · #120498
112年 - 112 公務升官等考試_薦任_物理:微積分#117315
112年 · #117315
112年 - 112 普通考試_天文、氣象:微積分#115417
112年 · #115417
112年 - 112 一般警察特種考試_三等_消防警察人員:微積分#114953
112年 · #114953
112年 - 112 身心障礙特種考試_四等_氣象:微積分#113932
112年 · #113932
111年 - 111 普通考試_氣象:微積分#109324
111年 · #109324
111年 - 111 一般警察特種考試_三等_消防警察人員:微積分#108604
111年 · #108604