阿摩線上測驗
登入
首頁
>
高考◆大氣動力學
> 96年 - 096年高等三級暨普通氣象(高考)#42389
96年 - 096年高等三級暨普通氣象(高考)#42389
科目:
高考◆大氣動力學 |
年份:
96年 |
選擇題數:
0 |
申論題數:
10
試卷資訊
所屬科目:
高考◆大氣動力學
選擇題 (0)
申論題 (10)
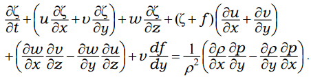
【已刪除】一、考慮完整渦度方程式如下:
討論各項之物理意義,並以中緯度綜觀天氣尺度進行尺度分析,寫出重要項。 (15分)
【已刪除】二、定義相當位溫為θe ≈ θ +0.25q (g kg),q 為水氣混合比,
為q 取飽和值之相當位溫。 為何大氣「條件性不穩度」的條件是 ∂
/∂z < 0 ?討論大氣「邊界層」的「溫度」 和「水氣含量」對「條件性不穩度」之影響。(10分)
【已刪除】 ⑴以Fourier series分析波動頻散關係,此波動是否為頻散波?(5分)
⑵分析 u 與h 的相位,並討論波動傳送方向,畫出波動之相位圖。(5分)
四、何謂「可應用位能」?說明大氣緯向平均的「可應用位能」和緯向平均溫度梯度的 關係,此能量非常大時會產生何種不穩度?最大不穩定波長之特性為何?討論其能 量轉換。(15 分)
【已刪除】五、討論緯向平均
之意義。畫這些物理量在對流層高層或低層示意圖,討論
之物理意義。(10分)
六、何謂熱力風平衡?畫出熱力風平衡示意圖。討論滿足熱力風平衡的暖心渦旋的渦度 垂直結構。熱力風為西風時,上層氣壓梯度力減去下層氣壓梯度力的力差異指向何 方向?(10分)
七、如果說「熱空氣上升,冷空氣下降」,為什麼討論「大氣穩定度」以及「浮力」所 使用的氣象變數為「位溫」而不是「溫度」?大氣垂直穩定的條件為何?(10分)
八、以次環流調節熱力風平衡觀點,討論斜壓波通量傳送和大氣輻射如何驅使緯向平均三 胞環流?討論為何哈德里胞(Hadley cell)是熱力直接環流,佛雷爾胞(Ferrel cell) 是熱力間接環流?(10分)
九、若u為東西風,φ 為緯度,a為地球半徑,Ω為地球自轉角速率,在角動量(Ω a cosφ +u) a cosφ 守恆原理下,靜止於赤道的氣塊被哈德里胞(Hadley cell)帶到φ
0
緯度,會產生西風 還是東風?風速值為何?(10分)
相關試卷
114年 - 114 公務升官等考試_薦任_氣象:大氣動力學#133182
114年 · #133182
114年 - 114 高等考試_三級_氣象:大氣動力學#128403
114年 · #128403
113年 - 113 高等考試_三級_氣象:大氣動力學#121506
113年 · #121506
112年 - 112 公務升官等考試_薦任_氣象:大氣動力學#117306
112年 · #117306
112年 - 112 高等考試_三級_氣象:大氣動力學#115412
112年 · #115412
111年 - 111 高等考試_二級_氣象:高等大氣動力學#110948
111年 · #110948
111年 - 111 高等考試_三級_氣象:大氣動力學#109426
111年 · #109426
110年 - 110 公務升官等考試_薦任_氣象:大氣動力學#103685
110年 · #103685
110年 - 110 高等考試_三級_氣象:大氣動力學#102397
110年 · #102397
109年 - 109 高等考試_三級_氣象:大氣動力學#88749
109年 · #88749