阿摩線上測驗
登入
首頁
>
技師◆航空發動機
> 96年 - 96 專技高考_航空工程技師:航空發動機#38255
96年 - 96 專技高考_航空工程技師:航空發動機#38255
科目:
技師◆航空發動機 |
年份:
96年 |
選擇題數:
0 |
申論題數:
13
試卷資訊
所屬科目:
技師◆航空發動機
選擇題 (0)
申論題 (13)
⑴將入口動能回復成壓縮機入口溫度 T
2
,求 T
2
=?P
2
=?(5 分)
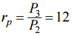
【已刪除】⑵壓縮機之壓縮比為
,求 T
3
=?(5 分)
⑶燃燒室出口溫度為 T
4
= 1300 K,假設渦輪只需帶動壓縮機,則利用軸功率平衡, 求 T
5
=?P
5
=?(5 分)
⑷噴嘴將 P
5
等熵膨脹至周遭大氣壓力 P
1
,則出口排氣溫度 T
6
=?與出口流速 V
6
=? (5 分)
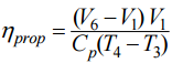
【已刪除】⑸此一理想循環之推進效率
?(5 分)
【已刪除】⑹有若干比例之能量浪費於加熱大氣層而未用於推進
?(5 分)
⑺為避免過多之廢熱浪費,引擎之型式可改為那些型式?(10 分)
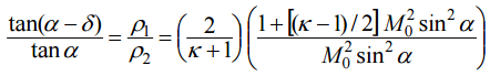
【已刪除】⑴請利用二維斜震波公式與比熱比κ = 1.4,計算出此飛行物之飛行馬赫數 M
0
=? (10 分)
⑵若飛行馬赫數低於題目⑴所計算之值,則可做那些調整以使進氣道能回到設計點? (10 分)
⑶若完全採用外部壓縮方式進氣,可以免去進氣道吸入震波之啟動問題(starting problem)但也會伴隨那一些缺點?(10 分)
⑴入口翼尖之相對馬赫數 M
rel,t1
=?(10 分)
⑵由上述分析可知欲避免葉輪之震波損失可以採用何方法改善?(5 分)
四、商用空氣渦輪機於起飛時之渦輪機入口溫達 1650K,軍用渦輪機有時操作接近燃料 絕熱極限之 2300~2500K,因此渦輪機之冷卻扮演相當重要之角色,請說明有那些 冷卻機制以維持渦輪葉片之均溫要求?(15 分)
相關試卷
114年 - 114 普通考試_航空器維修:航空發動機概要#128368
114年 · #128368
113年 - 113 民航特種考試_三等_適航檢查:民用航空器及發動機系統#122558
113年 · #122558
113年 - 113 普通考試_航空器維修:航空發動機概要#121060
113年 · #121060
112年 - 112 普通考試_航空器維修:航空發動機概要#115304
112年 · #115304
110年 - 110 普通考試_航空器維修:航空發動機概要#102223
110年 · #102223
109年 - 109 專技高考_航空工程技師:航空發動機#93120
109年 · #93120
109年 - 109 普通考試_航空器維修:航空發動機概要#88916
109年 · #88916
108年 - 108 普通考試_航空器維修:航空發動機概要#77560
108年 · #77560
107年 - 107 專技高考_航空工程技師:航空發動機#72965
107年 · #72965
107年 - 107 普通考試_航空器維修:航空發動機概要#70560
107年 · #70560