阿摩線上測驗
登入
首頁
>
研究所、轉學考(插大)-經濟學
> 96年 - 96 淡江大學 轉學考 經濟學#56035
96年 - 96 淡江大學 轉學考 經濟學#56035
科目:
研究所、轉學考(插大)-經濟學 |
年份:
96年 |
選擇題數:
0 |
申論題數:
14
試卷資訊
所屬科目:
研究所、轉學考(插大)-經濟學
選擇題 (0)
申論題 (14)
【已刪除】 (a)
【已刪除】(b)
【已刪除】(c)
2. (10%) Find the equation of (he tangent line to f(x) = 2x
3
-5x
2
+ 7 at x =2 .
【已刪除】(a) Find
【已刪除】(b)
4. (10%) Find the absolute extreme values of f(x) - x
3
- 9x
2
+ 15x, on [0,3].
5. (10%) A furniture showroom expects 1o sell 250 sofas a year. Oach sofa cosls I he store$300, aiul there is a fixed charge of $500 per oidcr. If it costs SI00 to store a sofa for a year, how large sliould each order be and bow often should orders be placed to minimize invenlory costs.
【已刪除】6. (10%) For equation x
3
=(y-2)
2
+ I, fuid
implicitly.
【已刪除】 (a) Find
【已刪除】(b)
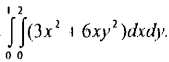
【已刪除】8. (10%) Find
【已刪除】9. (10%) Find
【已刪除】10 (10%) Evaluate
相關試卷
114年 - [無官方正解]114 臺灣綜合大學系統_學士班轉學生考試試題:經濟學#138281
114年 · #138281
114年 - [無官方正解]114 臺灣綜合大學系統_學士班轉學生考試試題:經濟學#137887
114年 · #137887
114年 - 114 台灣聯合大學系統_學士班轉學生考試試題:經濟學#137759
114年 · #137759
113年 - 113 國立成功大學_碩士班招生考試_交通管理研究所:經濟學#122751
113年 · #122751
113年 - 113 國立台灣大學_碩士班招生考試試題_土木工程研究所交通組:經濟學(C)(含工程經濟)#119247
113年 · #119247
112年 - 112 國立成功大學_碩士班招生考試試題_電信管理科學系:經濟學#119853
112年 · #119853
112年 - 112 國立成功大學_碩士班招生考試試題_交通管理科學系:經濟學#119711
112年 · #119711
112年 - 112 國立台灣大學_碩士班招生考試試題:經濟學(C)#119248
112年 · #119248
111年 - 111 國立臺灣大學_碩士班招生考試試題:經濟學 (C)#120838
111年 · #120838
110年 - 110 國立成功大學_碩士班招生考試試題_交通管理科學系、電信管理研究所:經濟學#121619
110年 · #121619