阿摩線上測驗
登入
首頁
>
近代光學
> 96年 - 96 高等考試_二級_光電工程:近代光學#50729
96年 - 96 高等考試_二級_光電工程:近代光學#50729
科目:
近代光學 |
年份:
96年 |
選擇題數:
0 |
申論題數:
5
試卷資訊
所屬科目:
近代光學
選擇題 (0)
申論題 (5)
一、何謂色散(dispersion)?說明其對光纖通訊的影響。(20 分)
二、設相干成像系統的出射光瞳(pupil)是直徑為 r 的圓孔,求其對應之截止頻率? (20 分)
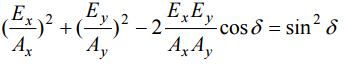
三、一沿 Z 方向傳播單色光,其電場分量可以寫成 E
x
= A
x
cos(ω t − kz ) E
y
= A
y
cos(ω t − kz + δ ) 試證
。(20 分)
【已刪除】四、 LiNbO
3
光電晶體屬於 3 m 晶系,其光電張量為
當電場作用於其 C 軸時,求其折射率橢球(index ellipsoid)。(20 分)
五、比較 0.85µm 、1.3µm 和1.55µm 光纖通信系統的優缺點。(20 分)
相關試卷
101年 - 101 專利商標審查特種考試_三等_物理:近代光學#44844
101年 · #44844
97年 - 97 高等考試_二級_光電工程:近代光學#48857
97年 · #48857