所屬科目:教甄◆數學
1、 哪一個選項的估計值,最接近? (A)1.659 (B)2.137 (C)2.646 (D)3.251
2、 化簡= (A) 4 (B) 6 (C)(D) 8
4、 設正八面體的二面角為θ,則 cosθ= (A) (B) (C) (D)
5、 將化為小數,試問小數點後第 2008 位的數字為 (A)1 (B)5 (C)7 (D)8
7、 =(A)0 (B)1 (C) (D)
16、 擲兩粒均勻骰子,擲出點數和 6 的機率為(A) (B) (C) (D)
18、 △ABC 中,∠A=30°,∠B=45°, =5 。試問△ABC 的面積為 (A) (B) (C) (D)資訊不足,無法得知
19、 在單位球面上,有一個三邊由大圓的圓弧組合而成的球面三角形,它的三個內角角度分別為 60°、90°、75°,試問此球面三角形面積為 (A) (B) (C)有很多可能性 (D)沒有這樣的球面三角形
20、 已知平面上有兩條長度分別為 a,b 的線段,試問下列選項中的線段長度,不一定可以利用尺規作圖作出來? (A)a+b (B)ab (C) (D)
21、 循環小數 = (A) (B) (C) (D)
23、 如圖所示的一個立體,底面為長5寬2 的長方形,兩個梯形的側面為上底 3 下底 5 的梯形,另兩個側面為邊長2 的正三角形,試問此立體的體積為?(A) 8 (B) (C) (D)
26、 在坐標平面上,由方程式| x-2 |+| 2y-3 |=5 所圍成的區域面積為 (A) 10 (B) 15 (C) 20 (D) 25
27、min(a,b)≦≦max(a,b)其中a >0,b > 0. 關於上列的一串不等式,下列選項何者正確? (A) 第一個『≤』不成立 (B) 第二個『≤』不成立 (C) 第四個『≤』不成立 (D) 全部成立
28、 在空間坐標中,以(1,2,3),(2,1,3),(3,1,2)為頂點的三角形面積為 (A)0 (B) (C)3 (D)6
29、 甲: x2+y2=1 ; 乙:log y =x ; 丙:y= 試問下列哪一個選項是正確? (A) 甲、乙、丙等式中的 y 都可以看成是 x 在實數上的函數 (B) 只有乙、丙等式中的 y 可看成是 x 在實數上的函數 (C) 只有乙等式中的 y 可看成是 x 在實數上的函數 (D) 只有丙等式中的 y 可看成是 x 在實數上的函數
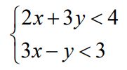
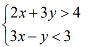
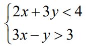
30、 在坐標平面上, 如圖所示,兩條直線2x+3y=4 , 3x-y=3 將坐標平面切割成四個區域,區域 I 為(A) (B) (C) (D)
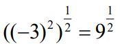
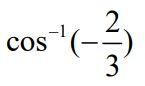
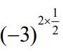
33、 關於等式-3=(-3)1===3,試問在哪一個等號開始出問題? (A) 第一個等號 (B) 第二個等號 (C) 第三個等號 (D) 第四個等號
34、 如圖所示,ABCD、CDEF、EFGH 為正方形,試問∠BOG= (A) 135° (B) 120° (C) (D)
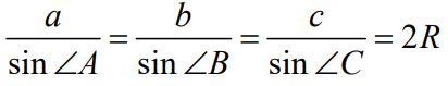
37、 由三角形的正弦定理『』可反映出下列哪一個幾何 性質? (A) 兩邊之和大於第三邊 (B) 大邊對大角、小邊對小角 (C) 鈍角三角形的外心在三角形的外部 (D) 邊長與其對角角度之間的比值固定
39、=(A) 1 (B) 2 (C) e (D) ∞
40、 下列何者正確? (A) (B)=90 (C)log2=0.3010 (D) eπi=-1