阿摩線上測驗
登入
首頁
>
機械原理(機械概論、大意)
> 97年 - 097年原住民族4等機械原理概要#48940
97年 - 097年原住民族4等機械原理概要#48940
科目:
機械原理(機械概論、大意) |
年份:
97年 |
選擇題數:
0 |
申論題數:
8
試卷資訊
所屬科目:
機械原理(機械概論、大意)
選擇題 (0)
申論題 (8)
⑴1.鉚釘常用什麼材料來製成?(2 分) 2.目前常用什麼方式,來取代鉚釘的固定方式?(2 分) 3.鉚釘與螺紋扣件的比較,其優、缺點為何?(4 分)
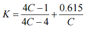
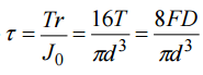
⑵有一螺旋彈簧,受軸向力 100N(牛頓),彈簧外徑為 4.5cm,線之直徑為 5mm ,求彈簧所受最大應力為多少(N/cm
2
)?(12 分)註:若彈簧線為圓形線,扭矩所產生的剪應力為
,但依Wahl氏修正之最大剪應力為 τ
max
=
,其中T:扭矩;r:扭轉力與旋轉中心之距 離; J
0
:圓形截面積的慣性矩(
);F:彈簧軸向力;d:彈簧線之直徑 ;D:彈簧的平均直徑;K:Wahl氏的應力集中係數(
), C=D/d。
二、如圖所示之定軸齒輪系中,齒輪 A 為 23 齒、同軸齒輪 B 與 C 分別有 40 齒與 28 齒 、同軸齒輪 D 與 E 分別有 46 齒與 24 齒、齒輪 F 有 42 齒、齒輪 G 有 48 齒,齒輪 A 為主動輪,順時針方向轉動,轉速為 1200 r.p.m.,求該齒輪系的輪系值和齒輪 G 之轉速。(20 分)
三、下圖為差動式皮帶煞車裝置,皮帶寬為 w,皮帶與煞車盤之間的最大面壓力為 pmax (單位為 N/mm
2
),皮帶纏繞角度為 φ ,面摩擦係數為μ,請利用已知的參數 ( pmax ,w, φ ,r,μ,a,c,s)推導出煞車扭矩 T 以及煞車致動力 F
a
。(20 分)
⑴請將此圖畫在答案卷上,並標示出壓力角( φ )及基圓半徑(R
b
)。(10 分)
⑵在不改變從動件位移曲線下,若將凸輪基圓半徑增加,壓力角會增加還是減少? (5 分)
⑶若希望凸輪推動從動件之作用力增大,壓力角應增加還是減少。(5 分)
五、剪刀、鍘刀及筷子為日常生活常用的工具,試以槓桿原理分別說明其作動方式的 差異。(20 分)
相關試卷
115年 - 115 關務特種考試_四等_機械工程(選試英文):機械原理概要#138916
115年 · #138916
114年 - 114 關務特種考試_四等_機械工程(選試英文):機械原理概要#126566
114年 · #126566
113年 - 113-2 國營臺灣鐵路股份有限公司_從業人員甄試試題_第10階-助理技術員:機械原理概要#125611
113年 · #125611
113年 - 113 臺灣菸酒股份有限公司_年從業職員及從業評價職位人員甄試試題_從業評價職位人員:機械概論#123491
113年 · #123491
113年 - 113 中央印製廠新進人員甄試試題_印製技術員:機械概論#123139
113年 · #123139
113年 - 113 關務特種考試_四等_機械工程(選試英文):機械原理概要#119482
113年 · #119482
112年 - 112 中央銀行所屬中央印製廠、中央造幣廠_新進人員聯合甄試試題_印製技術員/機械技術員:機械概論#120212
112年 · #120212
112年 - 112 地方政府特種考試_四等_機械工程:機械原理概要#118123
112年 · #118123
112年 - 112 原住民族特種考試_四等_機械工程:機械原理概要#116511
112年 · #116511
112年 - 112 普通考試_機械工程:機械原理概要#115401
112年 · #115401