阿摩線上測驗
登入
首頁
>
儀器分析
> 97年 - 097年高等三級暨普通普_環境檢驗#33159
97年 - 097年高等三級暨普通普_環境檢驗#33159
科目:
儀器分析 |
年份:
97年 |
選擇題數:
0 |
申論題數:
5
試卷資訊
所屬科目:
儀器分析
選擇題 (0)
申論題 (5)
一、請說明 Absorbance 及 Beer’s law 之關係。(20 分)
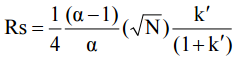
【已刪除】二、解析力之公式如下
,請說明N、α及k'之意義為何?(30 分)
三、請利用下列藥品 KH
2
PO
4
、K
2
HPO
4
配置 100 mL 0.3M pH = 7 之緩衝液,請說明各 需多少藥品(pKa =7.2)。(10 分)
四、何謂硬度?如何測定水之硬度?(20 分)
五、ESI-MS/MS 其原理為何?應用於何種分析,請說明之。(20 分)
相關試卷
115年 - 115 關務特種考試_三等_化學工程(選試英文):儀器分析#138815
115年 · #138815
114年 - 114 公務升官等考試_薦任_環境檢驗:儀器分析#133176
114年 · #133176
114年 - 114 高等考試_二級_衛生技術:儀器分析#131603
114年 · #131603
114年 - 114 司法、調查特種考試_三等_鑑識人員、化學鑑識組:儀器分析#130166
114年 · #130166
114年 - 114 關務特種考試_三等_化學工程(選試英文):儀器分析#126630
114年 · #126630
113年 - 113 調查特種考試_三等_化學鑑識組:儀器分析#122117
113年 · #122117
113年 - 113 關務特種考試_三等_化學工程(選試英文):儀器分析#119512
113年 · #119512
112年 - 112 地方政府特種考試_三等_化學工程:儀器分析#118384
112年 · #118384
112年 - 112 地方政府特種考試_三等_環境檢驗:儀器分析#118108
112年 · #118108
112年 - 112 地方政府特種考試_四等_環境檢驗:儀器分析概要#118102
112年 · #118102