阿摩線上測驗
登入
首頁
>
技師◆ 船體結構學
> 97年 - 97 專技高考_造船工程技師:船體結構學#36337
97年 - 97 專技高考_造船工程技師:船體結構學#36337
科目:
技師◆ 船體結構學 |
年份:
97年 |
選擇題數:
0 |
申論題數:
7
試卷資訊
所屬科目:
技師◆ 船體結構學
選擇題 (0)
申論題 (7)
一、在計算船體結構強度時,通常分 3 個階段或階層來分析,第一層分析稱(初步)主 要行為分析(primary behavior),第二層分析稱次級行為分析(secondary behavior), 第三層分析稱第三級行為分析(tertiary behavior)。請試說明這 3 層級的行為,其 中包含其外力來源的考量,計算的部位的圖示與說明,以及可求取的資訊(如…應 力),最後說明各層級所使用的計算理論(theory)。(25 分)
【已刪除】二、殘餘應力(residual stress),是如何產生的?一般在運用有限元素方法來計算船體 強度時,有考慮到殘餘應力嗎?以一邊銲(edge welds)的圖型(如下圖),說明 何處的板是受拉伸應力(tension)?何處是受壓縮應力(compression)?(以 A-B 段 、B-C 段等來區分)(20 分)
⑴中性軸(Neutral Axis)
⑵慣性矩(Moment of Inertia)
⑶剖面模數(Section Modulus, SM):含甲板(deck)與底板(bottom)之 SM
⑷當此斷面受力矩為 4000N‧m 時,請求出σ
deck
、σ
bottom
之最大應力。
單位:mm
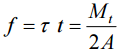
【已刪除】四、試求下圖所示薄壁雙閉室剖面之自由扭轉的抗扭慣性矩。(30 分) 環流方程式:
布雷特(Bredt)公式:
,M
t
為扭矩(torsional moment)
相關試卷
113年 - 113 專技高考_造船工程技師:船體結構學#123883
113年 · #123883
111年 - 111 專技高考_造船工程技師:船體結構學#111898
111年 · #111898
109年 - 109 專技高考_造船工程技師:船體結構學#93233
109年 · #93233
107年 - 107 專技高考_造船工程技師:船體結構學#73015
107年 · #73015
103年 - 103 專技高考_造船工程技師:船體結構學#25049
103年 · #25049
101年 - 101 專技高考_造船工程技師:船體結構學#26288
101年 · #26288
99年 - 99 專技高考_造船工程技師:船體結構學#29686
99年 · #29686
98年 - 98 專技高考_造船工程技師:船體結構學#35596
98年 · #35596
96年 - 96 專技高考_造船工程技師:船體結構學#34460
96年 · #34460
95年 - 95 專技高考_造船工程技師:船體結構學#37919
95年 · #37919