阿摩線上測驗
登入
首頁
>
測量學(概要、大意)
> 97年 - 97 鐵路、公路特種考試_員級_土木工程:測量學概要#48855
97年 - 97 鐵路、公路特種考試_員級_土木工程:測量學概要#48855
科目:
測量學(概要、大意) |
年份:
97年 |
選擇題數:
0 |
申論題數:
8
試卷資訊
所屬科目:
測量學(概要、大意)
選擇題 (0)
申論題 (8)
一、圖一與圖二為兩已對應之數值影像資料,「邏輯且(AND)」處理這兩項資料之結 果為何?「邏輯或(OR)」處理這兩項資料之結果為何?(20 分)
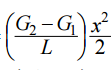
二、設某一段道路工程需設立豎曲線,使用的線型為二次拋物線 y =
+ G
1
x + H
D
, 其中 y 為高程值,x 為豎曲線任一點至其起點之水平長度,L 為豎曲線的總水平長度, 其起點為 D,起點高程為 H
D
且坡度為 G
1
;終點為 E,終點高程為 H
E
且坡度為 G
2
,如下 圖所示。若 L = 100 m、H
D
= 5 m、G
1
= 5%且 G
2
= -3%,請計算 HE 及曲線最高點之高程及 x 坐標。(20 分)
三、試述附合導線測量成果應滿足那兩個閉合條件?(20 分)
⑴ A 到 B 之方位角。(10 分) X東 A
⑵ A 到 B 之垂直角。(10 分)
⑴試以二倍中誤差(2σ)考慮偵測錯誤之觀測量,並敘明理由。(8 分)
⑵剔除該錯誤量後,該角度“秒”值之“最或是值”為何?(6 分)
⑶求該“最或是值”之中誤差(標準誤差)。(6 分)
相關試卷
115年 - 115 身心障礙特種考試_四等_土木工程:測量學概要#138946
115年 · #138946
114年 - 114 地方政府公務特種考試_四等_土木工程:測量學概要#134765
114年 · #134765
114年 - 114 地方政府公務特種考試_三等_土木工程:測量學#134701
114年 · #134701
114年 - 114 專技高考_水土保持技師:測量學(包括平面測量、地形測量與航照判釋)#133693
114年 · #133693
114年 - 114 原住民族特種考試_四等_土木工程:測量學概要#130938
114年 · #130938
114年 - 114 原住民族特種考試_三等_土木工程:測量學#130937
114年 · #130937
114年 - 114 原住民族特種考試_三等_土木工程:測量學#130936
114年 · #130936
114年 - 114 原住民族特種考試_三等_土木工程:測量學#130935
114年 · #130935
114年 - 114 普通考試_土木工程:測量學概要#128771
114年 · #128771
114年 - 114 高等考試_三級_土木工程:測量學#128530
114年 · #128530