阿摩線上測驗
登入
首頁
>
高考◆大氣動力學
> 98年 - 098年升官等、98年關務人員升官等薦任_氣象#40368
98年 - 098年升官等、98年關務人員升官等薦任_氣象#40368
科目:
高考◆大氣動力學 |
年份:
98年 |
選擇題數:
0 |
申論題數:
8
試卷資訊
所屬科目:
高考◆大氣動力學
選擇題 (0)
申論題 (8)
⑴絕對渦度向量(absolute vorticity vector)
⑵正壓大氣(barotropic atmosphere)
⑶ Hadley 環流(Hadley circulation)
⑷β 平面(β-plane)
二、什麼是地轉平衡?試繪一簡圖表示受力平衡關係。如空氣受到地表摩擦影響,地轉 平衡關係如何改變?試亦以圖示之。(20 分)
三、試分別就東西方向與南北方向運動,解釋在北半球因地球自轉空氣會向右偏轉的原 因,並寫出相關之運動方程式。(20 分)
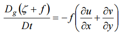
【已刪除】四、中高緯度綜觀尺度運動(synoptic-scale motion)垂直渦度方程式(vorticity equation) 可近似為:
方程式中等號左項為追隨地轉運動之時間變化率,ζ為相對渦度(relative vorticity), f 為科氏參數(Coriolis parameter),u 與 v 為兩風速分量。試對此方程式進行對於 中高緯度綜觀尺度運動之尺度分析(scale analysis),估計各項目大小,並討論此方 程式之物理意義。為何綜觀尺度運動為接近無幅散(quasi-nondivergent)?(20 分)
五、考慮一平底圓柱形水槽,內裝不可壓縮流體以 Ω 的角速度作剛體旋轉(solid-body rotation),液體的上表面(upper boundary)為自由液面(free surface),H 為水槽 中心點的液面高度。試推導液面高度與距水槽中心點距離(r)的關係式。(20 分)
相關試卷
114年 - 114 公務升官等考試_薦任_氣象:大氣動力學#133182
114年 · #133182
114年 - 114 高等考試_三級_氣象:大氣動力學#128403
114年 · #128403
113年 - 113 高等考試_三級_氣象:大氣動力學#121506
113年 · #121506
112年 - 112 公務升官等考試_薦任_氣象:大氣動力學#117306
112年 · #117306
112年 - 112 高等考試_三級_氣象:大氣動力學#115412
112年 · #115412
111年 - 111 高等考試_二級_氣象:高等大氣動力學#110948
111年 · #110948
111年 - 111 高等考試_三級_氣象:大氣動力學#109426
111年 · #109426
110年 - 110 公務升官等考試_薦任_氣象:大氣動力學#103685
110年 · #103685
110年 - 110 高等考試_三級_氣象:大氣動力學#102397
110年 · #102397
109年 - 109 高等考試_三級_氣象:大氣動力學#88749
109年 · #88749