阿摩線上測驗
登入
首頁
>
交通控制
> 98年 - 98 公務升官等考試_薦任_交通技術:交通控制#23576
98年 - 98 公務升官等考試_薦任_交通技術:交通控制#23576
科目:
交通控制 |
年份:
98年 |
選擇題數:
0 |
申論題數:
9
試卷資訊
所屬科目:
交通控制
選擇題 (0)
申論題 (9)
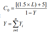
【已刪除】一、請根據下圖與表中的路口資料設計一定時號誌(Pre-timed Signal),不限設計方法, 請自行假設不足資料,並詳列演算流程與計算步驟。(25 分) 參考資料: Webster 時制計算公式:
Y
i
:時相i中,最大流量對飽和流量的比值,i=1,2,3⋯,n Y:Y
i
的總和 L:每一週期的總損失時間(秒)
C
0
:最佳週期長度(秒)
(解釋名詞) 1.猶豫區間(dilemma zone)
(解釋名詞) 2.車道控制號誌(lane control signal)
(解釋名詞) 3.高乘載車輛(High-occupancy vehicle, HOV)
(解釋名詞) 4.Split, Cycle and Offset Optimization Technique(SCOOT)
三、請描述交通控制系統的基本功能(Basic Functions)。(10 分)
四、請討論整合式運輸走廊交通管理(Integrated Corridor Management)可考慮採用的交 通管理策略包括那些方式?各有何優缺點?(15 分)
五、請說明觸動號誌控制(Actuated Signal Control)的型式、操作方式與應用時機。 (15 分)
六、在智慧型運輸系統的發展下,即時性(real-time)交通管理與控制已越來越重要, 請說明即時性交通管理與控制應如何進行?未來交通管理中心應如何來推動即時性 交通管理與控制的工作?(15 分)
相關試卷
114年 - 114 專技高考_交通工程技師:交通控制#133643
114年 · #133643
114年 - 114 公務升官等考試_薦任_交通技術:交通控制#133148
114年 · #133148
113年 - 113 專技高考_交通工程技師:交通控制#123856
113年 · #123856
112年 - 112 專技高考_交通工程技師:交通控制#117633
112年 · #117633
112年 - 112 公務升官等考試_薦任_交通技術:交通控制#117174
112年 · #117174
111年 - 111 地方政府特種考試_三等_交通技術:交通控制#112377
111年 · #112377
111年 - 111 地方政府特種考試_四等_交通技術:交通控制概要#112288
111年 · #112288
111年 - 111 專技高考_交通工程技師:交通控制#111805
111年 · #111805
110年 - 110 地方政府特種考試_四等_交通技術:交通控制概要#104679
110年 · #104679
110年 - 110 地方政府特種考試_三等_交通技術:交通控制#104610
110年 · #104610