阿摩線上測驗
登入
首頁
>
技師◆冷凍空調自動控制
> 98年 - 98 專技高考_冷凍空調工程技師:冷凍空調自動控制#37472
98年 - 98 專技高考_冷凍空調工程技師:冷凍空調自動控制#37472
科目:
技師◆冷凍空調自動控制 |
年份:
98年 |
選擇題數:
0 |
申論題數:
7
試卷資訊
所屬科目:
技師◆冷凍空調自動控制
選擇題 (0)
申論題 (7)
一、請詳細說明回授(feedback)對系統誤差(error)、增益(gain)、穩定度(stability)、 靈敏度(sensitivity)及外界干擾(disturbance)之影響。(20 分)
⑴由最小耗電量操作點往左前進時,為何系統電力消耗量增加相當快速(冷却水泵 相對速率約 0.6 時,電力消耗已達 25%之等高線)?(10 分)
⑵若因達到最小耗電量操作點需高成本而改以近似最小耗電量的方式來操作時,試 以此圖說明冷却水迴路之速度控制策略為何?(10 分)
⑴繪出K >0 之根軌跡(含分離點)。(15 分)
⑵利用根軌跡判斷其穩定性。(5 分)
四、PID 控制器在空調系統中應用相當廣泛,請設計以理想運算放大器(Ideal OP-AMP) 構成的反相組態電路來實現其功能,並說明其原理。(20 分)
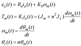
【已刪除】五、如圖所示為一水位控制系統,以一浮球控制液面高度h(t),系統方程式如下:
由蓄水池到水槽間用 N 個水閥連接,假設所有水閥的特性都一樣,且由 (t) θc 同步控 制。液體流量由下列方程式控制:
K
I
,K
o
為常數。若定義狀態變數(State Variables)為x
1
( t )= h( t) ,x
2
(t)= θ m(t) 及x
3
(t)=ωm(t) ,請寫出系統的狀態方程式(State Equations),並畫出系統的狀態圖 (State Diagram),初值可不考慮。(20 分)
其中 i
a
(t)為電樞電流,L
a
為電樞電阻,e
i
(t) 為電樞電感,e
a
(t) 為控制系統輸入訊號,e
b
(t)為電樞電壓, K
b
為反電勢,T
m
(t) 為反電勢常數,K
i
為馬達轉矩, 為轉矩 常數, ω
m
(t) 為轉子角速度, θ
m
(t) 為轉子角位移,J
m
為馬達轉子慣量, J
L
為負載慣 量,K
a
為放大器增益,A 為水槽面積,n 為齒輪比。
相關試卷
114年 - 114 專技高考_冷凍空調工程技師:冷凍空調自動控制#133704
114年 · #133704
113年 - 113 專技高考_冷凍空調工程技師:冷凍空調自動控制#123924
113年 · #123924
112年 - 112 專技高考_冷凍空調工程技師:冷凍空調自動控制#117674
112年 · #117674
111年 - 111 專技高考_冷凍空調工程技師:冷凍空調自動控制#111910
111年 · #111910
110年 - 110 專技高考_冷凍空調工程技師:冷凍空調自動控制#104221
110年 · #104221
109年 - 109 專技高考_冷凍空調工程技師:冷凍空調自動控制#93133
109年 · #93133
108年 - 108 專技高考_冷凍空調工程技師:冷凍空調自動控制#80858
108年 · #80858
107年 - 107 專技高考_冷凍空調工程技師:冷凍空調自動控制#72907
107年 · #72907
106年 - 106 專技高考_冷凍空調工程技師:冷凍空調自動控制#66559
106年 · #66559
104年 - 104 專技高考_冷凍空調工程技師:冷凍空調自動控制#36193
104年 · #36193