阿摩線上測驗
登入
首頁
>
技師◆給水及污水工程
> 98年 - 98 專技高考_環境工程技師:給水及污水工程#35797
98年 - 98 專技高考_環境工程技師:給水及污水工程#35797
科目:
技師◆給水及污水工程 |
年份:
98年 |
選擇題數:
0 |
申論題數:
8
試卷資訊
所屬科目:
技師◆給水及污水工程
選擇題 (0)
申論題 (8)
⑴求各水管之流量及摩擦損失水頭(不計次要損失)。(15 分)
【已刪除】
【題組】
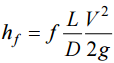
⑵若 A、B、C、D 之高程相同,A 點之水壓為 20 m 水頭, 求 D 點之水壓。(5 分) 但已知 Darcy-Weisbach 水流公式為
,L=管長, D=管徑,V=平均流速,g=重力加速度。
⑴接觸材料之體積、表面積和使用之材料。
⑵接觸氧化槽之體積、使用之槽數和段數
⑶曝氣量並說明曝氣之方式。(20 分)
三、有兩座矩形沈澱池每日處理 6,000 m
3
/d(立方公尺/日)原水,其長、寬及有效水深 分別為 30、5.5 及 3 m(公尺),求沈澱池之水力停留時間、水平流速、溢流率和 溢流堰之長度,並說明此沈澱池是否合乎自來水工程設計規範。(20 分)
四、若污水二級處理後再利用,可做那些用途?應再做何種處理?請說明之。(20 分)
五、有一河川水溫為 20℃流量 190,000 m
3
/d,BOD
5
及DO濃度分別為 1.0 mg/L和 7.0 mg/L,其下游只有一生活污水排入,污水量為 10,000 m
3
/d,水溫 20℃,BOD
5
濃度 180 mg/L溶氧(DO)為 0 mg/L。若該河川之水質目標是乙類,其BOD
5
濃度不 得高於 2 mg/L,DO不得低於 5.5 mg/L。求該污水容許排入之最大污染量,及污水 必須處理的程度。但已知河水與污水BOD之分解係數(k, 20℃以 10 為底)分別為 0.1 與 0.15 d
-1
(日
-1
),河水之脫氧係數(deoxygenation coefficient, k
1
)及再曝氣係 數(reaeration coefficient, k
2
)分別為 0.2 及 0.4 d
-1
(均為 20℃以 10 為底),20℃之飽 和DO=9.2 mg/L。(20 分)
相關試卷
114年 - 114 專技高考_環境工程技師:給水及污水工程#133659
114年 · #133659
113年 - 113 專技高考_環境工程技師:給水及污水工程#123790
113年 · #123790
112年 - 112 專技高考_環境工程技師:給水及污水工程#117622
112年 · #117622
111年 - 111 專技高考_環境工程技師:給水及污水工程#111921
111年 · #111921
110年 - 110 專技高考_環境工程技師:給水及污水工程#104173
110年 · #104173
109年 - 109 專技高考_環境工程技師:給水及污水工程#93130
109年 · #93130
108年 - 108 專技高考_環境工程技師:給水及污水工程#80680
108年 · #80680
107年 - 107 專技高考_環境工程技師:給水及污水工程#72987
107年 · #72987
106年 - 106 專技高考_環境工程技師:給水及污水工程#66584
106年 · #66584
105年 - 105 專技高考_環境工程技師:給水及污水工程#78404
105年 · #78404