阿摩線上測驗
登入
首頁
>
飛行力學
> 98年 - 98 專技高考_航空工程技師:飛行力學(包括自動控制與飛機性能)#47719
98年 - 98 專技高考_航空工程技師:飛行力學(包括自動控制與飛機性能)#47719
科目:
飛行力學 |
年份:
98年 |
選擇題數:
0 |
申論題數:
12
試卷資訊
所屬科目:
飛行力學
選擇題 (0)
申論題 (12)
⑴什麼是「阻力極線」(drag polar)?(5 分)
⑵試畫出同一架飛機在不同飛行馬赫數之阻力極線的曲線圖。(5 分)
⑶試指出阻力極線上幾個特殊的點並說明其意義。(5 分)
二、試說明大氣(不包含天候的變化)的各項性質(例如:壓力、溫度、黏度、濕度等) 和飛行力學的關聯性。(10 分)
⑴試說明飛機的俯仰力矩係數(pitch moment coefficient)Cm由飛機的那些部分產生? (5 分)
⑵試畫一簡圖,說明飛機飛行時,其縱向穩定與控制(longitudinal stability and control)之力與力矩的平衡。(10 分)
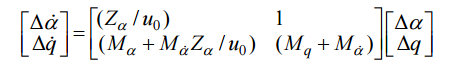
⑴飛機縱向運動之短週期模式(short-period mode of motion)的近似方程式為:
上式中等號右邊的左側為一個 2× 2 的矩陣(matrix),求其特性方程式(characteristic equation)。(10 分)
⑵試解出上述特性方程式。(10 分)
⑶並求出縱向運動短週期模式之頻率(frequency)與阻尼比(damping ratio)。 (10 分)
⑴續上題四,當升降舵的控制角度為 ∆δ e 時,飛機縱向運動之短週期模式的近似方 程式變成:
求其拉式轉換方程式(Laplace transform equation)。(10 分)
⑵試求解 ∆α ( s )/∆δ
e
( s ) 與 ∆q( s )/∆δ
e
( s ) 。(10 分)
六、波音 747-400 的最大起飛重量約為 397000 公斤,空重約為 181000 公斤,標準載客量 431 人(包含機組人員),最大航程約為 13500 公里,假設每位旅客含行李之平均重 量為 82 公斤,試求(旅客人數乘飛行公里數)/(公斤燃油)之平均值。(10 分)
相關試卷
96年 - 96 專技高考_航空工程技師:飛行力學(包括自動控制與飛機性能)#50348
96年 · #50348