阿摩線上測驗
登入
首頁
>
飛行力學
> 96年 - 96 專技高考_航空工程技師:飛行力學(包括自動控制與飛機性能)#50348
96年 - 96 專技高考_航空工程技師:飛行力學(包括自動控制與飛機性能)#50348
科目:
飛行力學 |
年份:
96年 |
選擇題數:
0 |
申論題數:
7
試卷資訊
所屬科目:
飛行力學
選擇題 (0)
申論題 (7)
⑴證明
【已刪除】 ⑵證明在水平、穩態飛行時的功率需求為
其中 W 為飛機重量、S 為參考面積及 ρ∞ 為大氣密度。(10 分)
⑶若飛機重量為 480 公斤,參考面積 9.55 平方米,飛行高度一公里(大氣密度為 1.1117 公斤每立方米),求其最小功率需求(10 分)及其相對空速。(10 分)
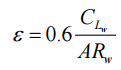
【已刪除】二、當升降舵角度為零時,若主翼及尾翼的升力係數(C
L
)可由下式求出
其中下標 w 代表主翼、h 代表尾翼, C
Lα
為升力係數斜率,α為相對機身參考線的攻 角,iw 及 ih 分別為主翼及尾翼相對機身參考線的裝置角, α
L0w
為主翼的零升力攻角 ,η為尾翼效率(tail efficiency),ε為主翼下洗流(downwash)在尾翼處的強度, ε
0
為零攻角的下洗流強度;下洗流在尾翼處的強度可以表示為
其中 ARw 為主翼展弦比(Aspect Ratio)。考慮一飛行器具有下列參數: S
w
= 9.55m
2
, b
w
= 1.12m, C
Lαw
= 5.51, α
L0w
= −1.88
o
, S
h
= 1.62m
2
, b
h
= 0.5m, CL
αh
= 3.97, η = 1.0 2 h 當該飛行器飛行高度一公里時,其空速為每小時 200 公里,在攻角為零度、升降舵 角度為零度、同時尾翼沒有提供升力時,可以達到配平,請分別求出主翼及尾翼相 對機身參考線的裝置角
i
w
及 i
h
。(20 分)
⑴求使系統變為不穩定時的最大 K 值。(10 分)
⑵當 K 等於最大值時,系統會振盪,求其振盪頻率。(10 分)
⑶繪製 K 值由零變化到無窮大的特徵方程式的根軌跡(當 K 值為零時,其中一個特 徵根為-0.5430)。(20 分)
相關試卷
98年 - 98 專技高考_航空工程技師:飛行力學(包括自動控制與飛機性能)#47719
98年 · #47719