阿摩線上測驗
登入
首頁
>
線性代數
> 99年 - 99 國家安全情報特種考試_三等_數理組(選試英文):線性代數#42192
99年 - 99 國家安全情報特種考試_三等_數理組(選試英文):線性代數#42192
科目:
線性代數 |
年份:
99年 |
選擇題數:
0 |
申論題數:
5
試卷資訊
所屬科目:
線性代數
選擇題 (0)
申論題 (5)
一、試證R
3
三向量(1, 0, 1),(0, 1, 2),(2, 1, 0)為線性獨立,並以Gram-Schmidt process將此 三向量轉換為orthonormal向量。(20 分)
【已刪除】二、以高斯消去法(Gauss elimination method),解線性方程組。(20 分)
三、設T:R
2
→R
3
為線性映射。已知T((-1, 2))=(-2, 1, 0)且T((3,-5))=(5,-7, 1),求 T((-4, 3))。(20 分)
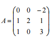
【已刪除】四、設
。求矩陣S使得S-1AS為對角矩陣,並寫出此對角矩陣。(20 分)
【已刪除】五、設A , B為二階方陣。已知det(A)=3,det(B)=-4,求det(
A),det(ABA),det(A
2
B)
T
,。此處det表矩陣的determinant,(AB)
T
表AB的轉秩矩陣。(20 分)
相關試卷
114年 - 114 國家安全情報特種考試_三等_數理組(選試英文):線性代數#127781
114年 · #127781
107年 - 107 國家安全情報特種考試_三等_數理組(選試英文):線性代數#74277
107年 · #74277
106年 - 106 國家安全情報特種考試_三等_數理組(選試英文):線性代數#64153
106年 · #64153
104年 - 104 國家安全情報特種考試_三等_數理組(選試英文):線性代數#41295
104年 · #41295
103年 - 103 國家安全情報特種考試_三等_數理組(選試英文):線性代數#42089
103年 · #42089
102年 - 102 國家安全情報特種考試_三等_數理組(選試英文):線性代數#42090
102年 · #42090
101年 - 101 國家安全情報特種考試_三等_數理組(選試英文):線性代數#42255
101年 · #42255
100年 - 100 國家安全情報特種考試_三等_數理組(選試英文):線性代數#42305
100年 · #42305