阿摩線上測驗
登入
首頁
>
熱力學與熱傳學
> 99年 - 99 專技高考_機械工程技師:熱力學與熱傳學(包括熱機)#46599
99年 - 99 專技高考_機械工程技師:熱力學與熱傳學(包括熱機)#46599
科目:
熱力學與熱傳學 |
年份:
99年 |
選擇題數:
0 |
申論題數:
10
試卷資訊
所屬科目:
熱力學與熱傳學
選擇題 (0)
申論題 (10)
一、吹風機之設計為一風道置電阻式加熱器,風扇把風吸進風道經電阻式加熱器加熱。 空氣進入風道之前為 100 kPa及 22℃,經過 1200 W加熱後,離開風道空氣之溫度為 47℃,風道之截面積為 60 cm
2
。空氣之氣體常數R=0.287 kPa.m
3
/kg.K,定壓比 熱C
p
=1.005 kJ/kg.K。如果不考慮風扇之能耗及管道之熱流失,試求進口空氣之體 積流率(volume flow rate)及出口空氣之流速。(15 分)
二、太陽能屋置有 50 個玻璃容器,每一容器儲有 20 L 的水,於白天時吸收太陽能,加 熱至 80℃。屋內除了被 50 個玻璃容器加熱外,另裝有自動調溫器來控制某 15 kW 備用電熱器,以維持 22℃之室內溫度。於某一冬天晚上,屋外溫度為 3℃,欲維持 10 小時室內溫度 22℃,如果熱損失至室外平均約 50,000 kJ/h,試求電熱器需加熱 時間及熵增加量。水的密度 ρ=1 kg/L,比熱 C=4.18 kJ/kg.℃。(20 分)
⑴請說明組成理想 Rankine 循環的四個過程,用 T-s 圖來說明。(5 分)
⑵如何來增加理想 Rankine 循環的效率?用 T-s 圖來說明。(10 分)
⑶試用 T-s 圖來展示 3 階段再加熱(reheating)的理想 Rankine 循環。假設所有渦輪機 之進口溫度均相同,試說明循環的效率隨再加熱階段數增加之變化情形。(5 分)
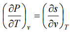
四、使 用 麥 斯 威 爾 ( Maxwell ) 關 係 式
, 證 明 Clapeyron 方 程 式 為
。請說明 Clapeyron 方程式之價值。(10 分)
五、殼管式熱交換器被用來對酸性液體加熱,酸性液體於圓管(內徑Di=10 mm及外徑 Do=11 mm)內流動,其熱傳係數為h
i
=1500 W/m
2
.K。熱氣於殼與圓管間流動, 其熱傳係數為h
o
=200 W/m
2
.K。為了避免酸性液體對圓管產生腐蝕,有 2 種圓管 材料可供選擇,一是Ni-Cr-Mo合金(ρ
m
=8900 kg/m
3
, k
m
=8 W/m.K),另一是 PVDF塑性材料(ρ
p
=1780 kg/m
3
, kp=0.17 W/m.K)。如果要傳遞同樣的熱量,請 找出塑性材料圓管與合金圓管之表面積比及質量比。如果單位質量合金圓管之成本 為塑性材料圓管 3 倍,以成本為考量,您應選擇何種圓管材料?(15 分)
⑴請說明在何種條件下,從固體經由鰭片的熱傳導可假設為一維。(5 分)
⑵如果熱經由鰭片的熱傳導可假設為一維,熱傳導係數(k)為常數,均一的鰭片 截面積(A
c
),無熱輻射及內部熱的產生之情形下,請推導出統制熱傳遞的方程 式。(10 分)
⑶如果固體表面溫度固定為Ts,除了經由加上散熱鰭片外,請說明其它可增加熱傳 率的方法。(5 分)
相關試卷
98年 - 98 專技高考_機械工程技師:熱力學與熱傳學(包括熱機)#47473
98年 · #47473
96年 - 96 專技高考_機械工程技師:熱力學與熱傳學(包括熱機)#50027
96年 · #50027