阿摩線上測驗
登入
首頁
>
工程數學
> 99年 - 99 專技高考_電子工程技師:工程數學(包括線性代數、微分方程、向量分析、複變函數與機率)#46447
99年 - 99 專技高考_電子工程技師:工程數學(包括線性代數、微分方程、向量分析、複變函數與機率)#46447
科目:
工程數學 |
年份:
99年 |
選擇題數:
0 |
申論題數:
9
試卷資訊
所屬科目:
工程數學
選擇題 (0)
申論題 (9)
一、求解聯立微分方程式: x′(t ) + y′(t ) + 3 y (t ) = 0 y′(t ) − x(t ) + 3 y (t ) = 1 其中 x(0) = 0, y (0) = 3 。(15 分)
二、給定向量場 v = xyi + e
yz
j + 3zk ,試求 v 之散度(divergence)及旋度(curl),其中 i, j, k 分別為 X,Y, Z 軸之單位向量。(5 分)
⑴試畫出 f (2t ) 及 cos(3t ) f (t ) 之傅立葉轉換。(15 分)
⑵試求 f (0) 。(5 分)
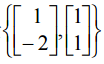
⑴該二特徵向量
是否為R
2
(X-Y平面)之一組基底(basis)?請解釋。(10 分)
⑵試求 a 及 b。(10 分)
⑶假設B=A
2
-2A,試求B之特徵值(eigenvalues)及特徵向量。 同時 B 是否可逆(invertible)?請解釋。(15 分)
五、假設X為在[0, 1]之間均勻分佈之隨機變數,Y=e
2X
,試求Y之機率密度函數(probability density function)及期望值(expectation)。(15 分)
六、利用
。(10 分)
相關試卷
108年 - 108 國家安全情報特種考試_三等_電子組:工程數學#78621
108年 · #78621
108年 - 108 調查特種考試_三等_電子科學組:工程數學#78542
108年 · #78542
108年 - 108 鐵路特種考試_高員三級_電力工程、電子工程:工程數學#76900
108年 · #76900
99年 - 99 專技高考_電機工程技師:工程數學(包括線性代數、微分方程、複變函數與機率)#46602
99年 · #46602
98年 - 98 專技高考_電機工程技師:工程數學(包括線性代數、微分方程、複變函數與機率)#48397
98年 · #48397
98年 - 98 專技高考_電子工程技師:工程數學(包括線性代數、微分方程、向量分析、複變函數與機率)#47603
98年 · #47603
96年 - 96 專技高考_電子工程技師:工程數學(包括線性代數、微分方程、向量分析、複變函數與機率)#50596
96年 · #50596
96年 - 96 專技高考_電機工程技師:工程數學(包括線性代數、微分方程、複變函數與機率)#50595
96年 · #50595