阿摩線上測驗
登入
首頁
>
工程數學
>
99年 - 99 專技高考_電子工程技師:工程數學(包括線性代數、微分方程、向量分析、複變函數與機率)#46447
> 申論題
申論題
試卷:99年 - 99 專技高考_電子工程技師:工程數學(包括線性代數、微分方程、向量分析、複變函數與機率)#46447
科目:工程數學
年份:99年
排序:0
申論題資訊
試卷:
99年 - 99 專技高考_電子工程技師:工程數學(包括線性代數、微分方程、向量分析、複變函數與機率)#46447
科目:
工程數學
年份:
99年
排序:
0
題組內容
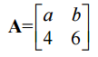
四、已知方陣 A 為
且
均為方陣 A 之特徵向量(eigenvectors)。 ⎣− 2⎦ ⎣1⎦ ⎧⎡ 1 ⎤ ⎡1⎤ ⎫
申論題內容
⑶假設B=A
2
-2A,試求B之特徵值(eigenvalues)及特徵向量。 同時 B 是否可逆(invertible)?請解釋。(15 分)