阿摩線上測驗
登入
首頁
>
工程數學
> 99年 - 99 專技高考_電機工程技師:工程數學(包括線性代數、微分方程、複變函數與機率)#46602
99年 - 99 專技高考_電機工程技師:工程數學(包括線性代數、微分方程、複變函數與機率)#46602
科目:
工程數學 |
年份:
99年 |
選擇題數:
0 |
申論題數:
5
試卷資訊
所屬科目:
工程數學
選擇題 (0)
申論題 (5)
一、求連續隨機產生兩個 5,平均須多少個數目?(20 分)
二、用複變理論(complex variable theory)計算下面之實數定積分(real definite integral): ∫
0
∞
cos x
2
dx 。(20 分)
三、解下列向量微分方程:
。(20 分)
四、陳述並證明 n 維歐氏向量空間(n-dimensional Euclidian vector space)中的歌西不等 式(Cauchy-Schwarz inequality)。(20 分)
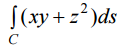
五、計算下列之積分:
其中 C 弧係由 x=cos t, y=sin t, 及 z=t 所定義之螺線 C 管連接(1,0,0)及(-1,0,π)所構成。(20 分)
相關試卷
108年 - 108 國家安全情報特種考試_三等_電子組:工程數學#78621
108年 · #78621
108年 - 108 調查特種考試_三等_電子科學組:工程數學#78542
108年 · #78542
108年 - 108 鐵路特種考試_高員三級_電力工程、電子工程:工程數學#76900
108年 · #76900
99年 - 99 專技高考_電子工程技師:工程數學(包括線性代數、微分方程、向量分析、複變函數與機率)#46447
99年 · #46447
98年 - 98 專技高考_電機工程技師:工程數學(包括線性代數、微分方程、複變函數與機率)#48397
98年 · #48397
98年 - 98 專技高考_電子工程技師:工程數學(包括線性代數、微分方程、向量分析、複變函數與機率)#47603
98年 · #47603
96年 - 96 專技高考_電子工程技師:工程數學(包括線性代數、微分方程、向量分析、複變函數與機率)#50596
96年 · #50596
96年 - 96 專技高考_電機工程技師:工程數學(包括線性代數、微分方程、複變函數與機率)#50595
96年 · #50595