阿摩線上測驗
登入
首頁
>
工程數學
> 98年 - 98 專技高考_電機工程技師:工程數學(包括線性代數、微分方程、複變函數與機率)#48397
98年 - 98 專技高考_電機工程技師:工程數學(包括線性代數、微分方程、複變函數與機率)#48397
科目:
工程數學 |
年份:
98年 |
選擇題數:
0 |
申論題數:
10
試卷資訊
所屬科目:
工程數學
選擇題 (0)
申論題 (10)
一、已知 y1 ( x) = e
− x
cos ( x) 與 y
2
( x) = e
− x
是微分方程式 y′′′ + ay′′ + by′ + cy = 0 的解,其中 a、
b、c 都是實數。求 y′′′ + ay′′ + by′ + cy = 6 + 2 x 的解。(20 分)
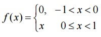
二、已知 f (x) 是週期為 2 的函數,在 − 1 < x < 1 的區間定義為
。求
f (x) 的傅利葉(Fourier)級數。(20 分)
⑴求 Q 矩陣。(10 分)
⑵求 D 矩陣。(10 分)
⑴證明此一線積分與積分路徑(path)無關,也就是從(0,0)到(2,8)的任何一個路徑 的線積分值都一樣。(10 分)
⑵求此線積分值。(10 分)
⑴求 X 的期望值(expected value)E[ X ]。(5 分)
2.求E[ X
2
]。(5 分)
⑶求E[ X
3
]。(5 分)
⑷求 3 X − 2 的變異數(variance)。(5 分)
相關試卷
108年 - 108 國家安全情報特種考試_三等_電子組:工程數學#78621
108年 · #78621
108年 - 108 調查特種考試_三等_電子科學組:工程數學#78542
108年 · #78542
108年 - 108 鐵路特種考試_高員三級_電力工程、電子工程:工程數學#76900
108年 · #76900
99年 - 99 專技高考_電機工程技師:工程數學(包括線性代數、微分方程、複變函數與機率)#46602
99年 · #46602
99年 - 99 專技高考_電子工程技師:工程數學(包括線性代數、微分方程、向量分析、複變函數與機率)#46447
99年 · #46447
98年 - 98 專技高考_電子工程技師:工程數學(包括線性代數、微分方程、向量分析、複變函數與機率)#47603
98年 · #47603
96年 - 96 專技高考_電子工程技師:工程數學(包括線性代數、微分方程、向量分析、複變函數與機率)#50596
96年 · #50596
96年 - 96 專技高考_電機工程技師:工程數學(包括線性代數、微分方程、複變函數與機率)#50595
96年 · #50595