所屬科目:工程數學
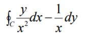
一、令 C 為平面上一個簡單、封閉、正向而不通過原點之路徑,求解: (20 分)
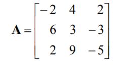
二、求取下列矩陣之反矩陣。(20 分)
三、令 f ( z ) = sin 2 ( z ) (z 2 (z 2 + 4))。若 Γ 為一個包含 z=0 以及 z=2i(但不包含 z = −2i )之封閉路徑。求解 。(20 分)
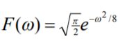
四、證明 f (t ) = e −2 t2 之傅立葉轉換為。(20 分)
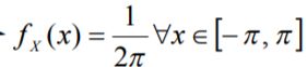
五、令。求 Y=cos(X)之機率密度函數(probability density function)(20 分)