阿摩線上測驗
登入
首頁
>
工程數學
> 96年 - 96 專技高考_電子工程技師:工程數學(包括線性代數、微分方程、向量分析、複變函數與機率)#50596
96年 - 96 專技高考_電子工程技師:工程數學(包括線性代數、微分方程、向量分析、複變函數與機率)#50596
科目:
工程數學 |
年份:
96年 |
選擇題數:
0 |
申論題數:
9
試卷資訊
所屬科目:
工程數學
選擇題 (0)
申論題 (9)
⑴求兩隨機變數( ξ ,η )的結合分布密度函數。兩者獨立否?(6 分)
⑵求 ξ 與η 兩者各自的期望值(expectation),標準差(standard deviation)及兩者 的線性相關係數(linear correlation coefficient)。(9 分)
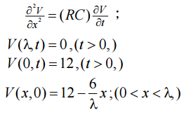
【已刪除】二、利用富利葉(Fourier)級數,解出如下方程式中的函數: V = V ( x, t ) ,範圍 t > 0 , 0 < x < λ。(常數 R > 0 , C > 0 , λ > 0 。)(25 分)
⑴求方陣 A 的固有值(eigen-value),以及對應的固有向量(eigen-vector)e
1
, e
2
。 (25 分)
【已刪除】 ⑵將向量 a =
,表示成固有向量 e
1
, e
2
的線性組合。(10 分)
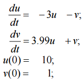
【已刪除】四、解聯立微分方程式:(10 分)
五、計算向量場
w
= e
z
y
i
− e
z
x
j
+ xye
z
k
的旋度(rotation)rot
w
與散度(divergence)div
w
。 (5 分)
(i, j,
k
當然是三軸上的單位向量。旋度也有人用記號 curl。)
【已刪除】 ⑴若 z = f ( w) =
,則 z = x + i y 的變動範圍為何?
⑵ z 平面上的直線 y = 0.2 ,對應到 w 平面上的曲線為何?(畫示意圖就好!)
相關試卷
108年 - 108 國家安全情報特種考試_三等_電子組:工程數學#78621
108年 · #78621
108年 - 108 調查特種考試_三等_電子科學組:工程數學#78542
108年 · #78542
108年 - 108 鐵路特種考試_高員三級_電力工程、電子工程:工程數學#76900
108年 · #76900
99年 - 99 專技高考_電機工程技師:工程數學(包括線性代數、微分方程、複變函數與機率)#46602
99年 · #46602
99年 - 99 專技高考_電子工程技師:工程數學(包括線性代數、微分方程、向量分析、複變函數與機率)#46447
99年 · #46447
98年 - 98 專技高考_電機工程技師:工程數學(包括線性代數、微分方程、複變函數與機率)#48397
98年 · #48397
98年 - 98 專技高考_電子工程技師:工程數學(包括線性代數、微分方程、向量分析、複變函數與機率)#47603
98年 · #47603
96年 - 96 專技高考_電機工程技師:工程數學(包括線性代數、微分方程、複變函數與機率)#50595
96年 · #50595