所屬科目:工程數學
1 已知 u,v 為向量空間(vector space)V 中的向量,下列何者正確? (A) u ⋅ (v × u) = 0 (B) (C) (D)
3 若= 5 ,求 C = ? (A) C = 15 (B)C = 5 (C) C = −5 (D) C = −15
4 令矩陣 A ,試問 A 的零空間(null space)之維度(dimension)為何? (A)0 (B)1 (C)2 (D)3
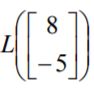
5 設 L : R3 → R3 為一線性轉換,已知,求 為何? (A) [2 1 5]T(B) [2 7 4] T(C) [2 − 1 5] T(D) [− 2 4 − 7] T
6 已知矩陣 。下列何者是 A 的特徵向量? (A) [4 − 15 − 6]T (B) [7 − 24 5]T (C) [4 − 15 5]T (D) [7 − 24 − 6] T
7 試問下列何者複數函數其極限值不存在? (A)(B) (C) (D)
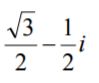
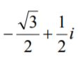
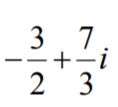
8 下列何者不是複數函數 z 3 = i 的根?(A)−i (B) (C) (D)
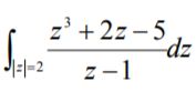
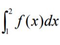
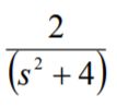
9 求= ? (A) 4π i (B) − 2πi (C) 2π i (D) − 4πi
12 求 微 分 方 程 式 y′′ + 0.5 y′ − 0.5 y = e x + sin(x) + 3 cos(x), y(0) = 0, y′(0) = 1.5 之 解 , 其 中 : (A) y = e x /2 + e x − 2 cos(x) (B) y = 3e x/ 2 − 3 cos(x) (C) y = e− x cos(x) − 1 (D) y = e x/ 2 − e x + 2 sin(x)
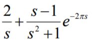
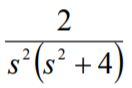
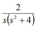
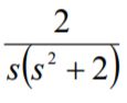
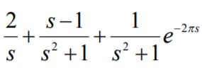
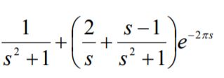
13 下列何者為函數 之拉普拉斯轉換(Laplace Transform)? (A) (B) (C) (D)
14 令,則= ? (A) (B) (C) (D)
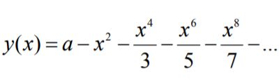
15 若 為方程式 的解,其中, 試問 a 值為何? (A)0 (B)1 (C)2 (D)4
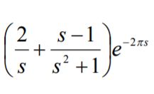
16 設 f (t) = sin(2t),求之拉普拉斯轉換? (A) (B) (C) (D)
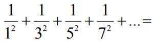
17 函 數 f ( x) = x 2 , − π < x < π 的 傅 立 葉 級 數 為 , 求 ?(A) (B) (C) (D)
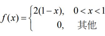
18 設一連續隨機變數 X 具有機率密度函數 ,求其變異數(variance)? (A) 1/18 (B) 1/36 (C) 3/18 (D) 5/36 2(1 − x), 0 < x < 1
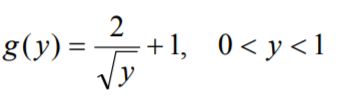
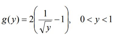
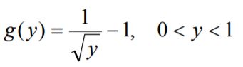
19 設一隨機變數 X 具有機率密度函數 ;試問一個隨機變數 Y = X 2 ,其機 0, 其他 率密度函數 g (y) 為何?(A) (B) (C) (D)
20 設隨機變數(random variable)X 和 Y 的聯合機率密度函數(joint probability density function)為 。則期望值 E[XY ] 為何? (A) 1/9 (B) 17/24 (C) 13/36 (D) 13/24
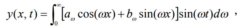
二、證明下列波動方程式 之解答可表示為 , 其中(20 分)
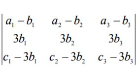
三、求取下列矩陣之反矩陣。(15 分)