阿摩線上測驗
登入
首頁
>
工程數學
> 96年 - 96 專技高考_電機工程技師:工程數學(包括線性代數、微分方程、複變函數與機率)#50595
96年 - 96 專技高考_電機工程技師:工程數學(包括線性代數、微分方程、複變函數與機率)#50595
科目:
工程數學 |
年份:
96年 |
選擇題數:
0 |
申論題數:
8
試卷資訊
所屬科目:
工程數學
選擇題 (0)
申論題 (8)
⑴證明 Γ( x + 1) = xΓ( x) 。(10 分)
【已刪除】 ⑵求
= ? (10 分)
【已刪除】二、解
【已刪除】三、求
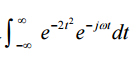
= ?(15 分)
【已刪除】四、求
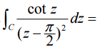
= ?此處 C 為圓| z| = 2 。(15 分)
⑴ E{x} = ?(10 分)
⑵σ
2
x = ? (10 分)
【已刪除】六、求逆拉普拉斯(Inverse Laplace)轉換
。(15 分)
相關試卷
108年 - 108 國家安全情報特種考試_三等_電子組:工程數學#78621
108年 · #78621
108年 - 108 調查特種考試_三等_電子科學組:工程數學#78542
108年 · #78542
108年 - 108 鐵路特種考試_高員三級_電力工程、電子工程:工程數學#76900
108年 · #76900
99年 - 99 專技高考_電機工程技師:工程數學(包括線性代數、微分方程、複變函數與機率)#46602
99年 · #46602
99年 - 99 專技高考_電子工程技師:工程數學(包括線性代數、微分方程、向量分析、複變函數與機率)#46447
99年 · #46447
98年 - 98 專技高考_電機工程技師:工程數學(包括線性代數、微分方程、複變函數與機率)#48397
98年 · #48397
98年 - 98 專技高考_電子工程技師:工程數學(包括線性代數、微分方程、向量分析、複變函數與機率)#47603
98年 · #47603
96年 - 96 專技高考_電子工程技師:工程數學(包括線性代數、微分方程、向量分析、複變函數與機率)#50596
96年 · #50596