所屬科目:教甄◆數學
1. 若 △ABC 的三高分別為 6 、4 、 3 ,則 △ABC 為何種三角形? (A) 銳角三角形 (B) 直角三角形 (C) 鈍角三角形 (D) 不能確定
3. 已知拋物線 y=ax2+bx+c的圖形如右所示,則 下列哪一個數恆小於 0? (A) ab (B) bc (C) c-a (D)b2 -4ac
4. 坐標平面上,給定 A(- 3,-1 ),B (6, 11) 。若動點 P 滿足△ABP 的周長為40 ,則△ABP 的面積最大值為何? (A)(B)(C) 75 (D) 78
5. 若 α,β,γ為x 3+ax2+bx+c=0的三根,且已知α+β=2, αβ= - 1 ,則下列哪一個數可能不是另一根 γ 的值? (A) b2-4ac - (B) -a - 2 (C) (D) c
6. 下列哪一函數圖形與 y= log x 的圖形不全等(即圖形無法完全疊合)? (A) y= log(4x ) -1(B) y=log(x+1) (C) (D)
8. 級數的值,在下列哪一區間中? (A) [2,3 ] (B) [3 , 4 ](C) [4 , 5 ] (D) [ 5 , 6]
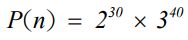
9. 設 P (n) 表示 n 的所有正因數之積,例如: P (10 )= 1✖2✖5✖10 = 100。 若,則 n =? (A) 108 (B) 216 (C) 324 (D) 648
12. 已知無窮數列 ,滿足每一項的分子都是前項的分母,而分母是前 項的分子與分母之和,則此數列最後會趨近哪一個實數? (A)(B)(C)(D)
13. 已知 a 是方程式= ? (A) 1 (B) 2 (C) 3 (D) 4
14. 化簡=?(A)(B)(C) (D)
15. 若實數 a,b,c滿足 ,則 a +b +c = ? (A) 13 (B) 15 (C) 17 (D) 18
17. 若 x,y,z 是不全為 0 的實數,則的最大值為何? (A) (B) (C) (D)
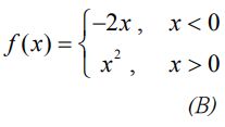
18. 若 f( x)是一實函數,滿足 f (0)= 1 且 ,其中 x≠0, 則| f (x)| 的最小值為何? (A) (B) (C) (D)
19. 函數的最大值為何? (A) 6 (B) 7 (C) 8 (D) 9
21. 若函數 ,則下列哪一圖形最可能是 y = log f( x) 的圖形?(A)(B)(C)(D)
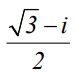
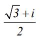
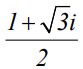
22. 若方程組有唯一解(x,y ) = (4,5) ,則方程組的解( x,y )= ? (A) ( 15,-4 ) (B) ( -15, 4) (C) ( 4 , -15 )(D) ( -4,15)
23. 將1, 2, 3, 4, 5, 6, 7, 8, 9, 10等10 張撲克牌排成一列,每一次洗牌都依同樣的規律重新排列,下表為第一次洗牌後的情況;那麼至少需要幾次的洗牌後,這10 張撲克牌才會同時回到原始的排列?(A) 20 (B) 24 (C) 26 (D) 30
25. 電影公司想為旗下新進二位女明星及四位男明星作宣傳 , 計畫在一長方形的看板上宣傳他們的劇照,該長方形看板等分成六個區塊 A ,B ,C ,D ,E ,F,如下圖所示 若每一區塊只能擺入一位明星的劇照,且兩位女明星的劇照希望不要左右相鄰 , 也不要上下相鄰,那麼該公司可以有多少種不同的宣傳看板 ? (A) 288 (B) 336 (C) 384 (D) 432
30. 已知 △ABC 的三邊長都是正整數,以下哪一個三角函數值必為有理數? (A) sin A (B) cos A (C) tan A (D) sin A + cos A
31. 若 △ABC 的三邊長為 a , b , c,其對應的三高分別為ha,hb,hc,則之值為何?(A) sinA sinB sin C (B) cosA cos B cos C (C) tanA tan B tanC (D) cscA csc B cscC
32. 若 P 為銳角△ABC 的外心,且 P 至三邊的距離為 x, y, z , ,則 x : y : z= ? (A) sinA : sin B : sin C (B) cosA : cosB : cos C (C) tan A : tan B : tan C (D) csc A : cscB : csc C
35. 坐標平面上, A(0, - 6 ) 為定點,若點 P 在橢圓16 x2+y2 =16 上移動,則以下哪一個值不可能為的長度? (A) (B)(C) 9 (D)
36. 若 ABCD 為一圓內接四邊形,且則四邊形 ABCD 的面積為何? (A)(B)(C)(D)
37. 若 △ABC 的面積等於 24 ,且點 P 滿足 ,則△ABP 的面積為何? (A) 12 (B) 15 (C) 18 (D) 21
38. 設 a, b為實數,且,則 a =? (A) 5 (B) 6 (C) 7 (D) 8
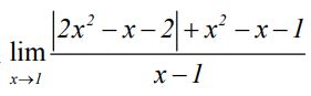
39. 極限 = ? (A) -2 (B) 0 (C) 2 (D) 3
40. 若 f( x)是可微分的實函數, f (1)> 0且滿足對任意實數 x 均成立,則導數 f '(1)之值為何? (A)(B)(C) (D)