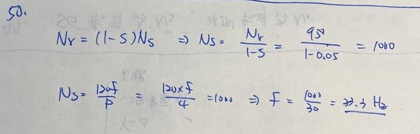
50. 一台4極三相感應電動機以變頻器驅動,轉速為950 rpm,此時電動機之轉差率為5 %,則變頻
器輸出之電源頻率約為多少?
(A) 90.5 Hz
(B) 60.3 Hz
(C) 33.3 Hz
(D) 11.5 Hz
答案:登入後查看
統計: A(7), B(16), C(370), D(9), E(0) #1917580
統計: A(7), B(16), C(370), D(9), E(0) #1917580
詳解 (共 2 筆)
#3297505
定子轉速-950/定子轉速=0.05
定子轉速=1000
120*F/4=1000
F=33.3
1
0
#5190262

0
0