1.若一鏡像混合物含鏡像異構物A(99%)及B(1%),則其〔α〕值與純光學異構物A之值相比,會差異多少?
(A)1%
(B)2%
(C)98%
(D)99%
答案:登入後查看
統計: A(1701), B(4386), C(1372), D(558), E(0) #2180125
統計: A(1701), B(4386), C(1372), D(558), E(0) #2180125
詳解 (共 10 筆)
#4508336
既然各位前輩都已經補充很多計算了,那我這邊來統整一下有關旋光度的整理 :
旋光度
測定對象 : 有不對稱碳的物質 ( 有光學活性 Optically active )

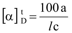
D : 鈉黃光(589.0nm)
T : 溫度;l : 儲液管長度(dm);C : 濃度 ( g/100ml)
考點 : 加氨試液 -> 促進變旋作用 Mutarotation。
精確度 : 至少 0.02以上
94
2
#3968161
旋光度測定可用以鑑定藥物的真偽、純雜,精確度至少應達 0.02o
13 下列有關旋光度測定之敘述,何者錯誤?
(A)旋光方向以「+」及「-」分別表示右旋及左旋 (B)旋光計之貯液管一般採用 100 cm (C)旋光度可用於鑑別光學活性藥物之真偽純雜,所用旋光計之精確度至少應達 0.02o (D)以鈉光之 D 線(λ=589 nm)為光源 . 專技 - 藥物分析與生藥學(包括中藥學)- 100 年 - 100-1-藥師-藥物分析與生藥學(包括中藥學)#9928 (B)
74
5
#4487023
racemic mixtures:A和B互為鏡像當各為50% 就是所謂的外消旋所出來的光學活性剛好為0
但是如果一個99% u 一個1% 這個1%會去與99%中的一份去消旋
導致A會剩98%
meso compund:如果結構自己就會消自己代表自己有對應面 所以稱做meso compound 稱為內消旋,只有一個結構!
旋光度測定可用以鑑定藥物的真偽、純雜,精確度至少應達 0.02o
但是如果一個99% u 一個1% 這個1%會去與99%中的一份去消旋
導致A會剩98%
meso compund:如果結構自己就會消自己代表自己有對應面 所以稱做meso compound 稱為內消旋,只有一個結構!
旋光度測定可用以鑑定藥物的真偽、純雜,精確度至少應達 0.02o
47
4
#5837972
雜種 +99-1 = -99+1=+-98 誰正誰負都是98血統
正統血統100
差2
正統血統100
差2
23
0
#3816718
在紅膠囊中譯本第三版的P50頁
21
17