所屬科目:專技 - 藥物分析與生藥學(包括中藥學)
1.新鮮配製之費氏試劑(Karl Fischer reagent)200 mL,含 13 g 碘及過量 SO2,則每 1 mL 約相當於多少水?(A)1 mg (B)5 mg (C)1 g (D)5 g
2.利用費氏滴定法(Karl Fischer titration)進行無色檢品的滴定,其達滴定終點時呈現何種顏色?(A)深藍 (B)墨綠 (C)淡黃 (D)琥珀
3.某溶液含有 6.6×10-2 M sodium acetate 及 3.3×10-2 M acetic acid,則此溶液之 pH 值約為多少?(acetic acid 之 pKa 為 4.74) (A)5.04(B)4.47 (C)9.53 (D)8.96
4.以重量分析法進行次硝酸鉍(bismuth subnitrate)之定量時,係將其熾灼為下列何者再稱量之? (A)(BiO)2CO3 (B)BiO2 (C)Bi2O3 (D)Bi(OH)3
5.下列有關澱粉指示劑的敘述,何者錯誤? (A)澱粉粒於熱水中崩解,產物之一為β-amylose (B)溶液中有高濃度碘存在時,須待黃色幾乎消失時,才可加入指示劑 (C)在弱酸性環境中有較佳的靈敏度 (D)最適合之反應溫度為 30℃
6.關於毛細管電泳(CE)法中分析物電泳淌度(electrophoretic mobility)的敘述,下列何者錯誤? (A)係分析物在毛細管電泳系統中的移動能力 (B)可透過添加有機溶劑去改變 (C)可調整緩衝溶液 pH 值去改變 (D)可依施加電壓去改變
7.下列有關層析法之敘述,何者錯誤?(A)鹼性分析物的滯留時間與動相中緩衝液的 pH 值無關 (B)依固定相之極性可分為正相與逆相層析 (C)分配係數會影響其滯留時間 (D)逆相層析法可用於分析中極性化合物
8.下列各類化合物,何者最不適合以非水鹼滴定法分析?(A)羧酸 (B)烯醇 (C)酚 (D)四級銨鹽
9.測定黏度時,下列敘述何者正確?(A)純液體之黏度常隨溫度而變化,溫度愈高黏度愈大 (B)通常絕對黏度之單位以厘斯(centistoke)表示之 (C)液體之運動黏度為其絕對黏度乘以該液體同溫度時之密度所得之積 (D)室溫下,水比乙醚自毛細管流下所需的時間長
10.下列何者之濃溶液於鑑定試驗時,加入氯化鐵試液,即呈現紫堇色?(A)水楊酸鹽(salicylate) (B)草酸鹽(oxalate) (C)過氧化氫(hydrogen peroxide) (D)甲醛(formaldehyde)
11.下列何種揮發油成分的比重大於 1.0?(A)香葉醇(geraniol) (B)香茅醛(citronellal) (C)檸檬醛(citral) (D)苯甲醛(benzaldehyde)
12.已知中和松香(rosin)1.10 克需 0.110 N 氫氧化鈉 28.0 毫升,則其酸價約為多少?(A)157 (B)173 (C)143 (D)129
13.在烯烴的1H NMR 圖譜中,trans 位向雙氫原子的偶合常數為多少 Hz?(A)12~18 (B)6~10 (C)3~5 (D)1~2
14.下列何種方法可應用於測定待測物之 pKa 數值?(A)螢光光譜法 (B)紫外光-可見光光譜法 (C)拉曼光譜法 (D)質譜法
15.關於大氣壓化學游離法(APCI)的敘述,下列何者錯誤?(A)分析物在游離前,必須先氣化(B)離子化過程會先產生如 H3O+ 和 N2+ ,再將其電荷轉移到分析物 (C)APCI 在藥物分析的使用普及度較電灑法(ESI)低 (D)APCI 較適用於分析高極性的化合物
16.下列有關折光率測定之敘述,何者最不適當?(A)於 20℃時,蒸餾水之折光率為 1.3330 (B)理論之正確度可達±0.0001 (C)測定時只能使用阿培氏折射計 (D)光線在兩種密度不同之介質間穿越時,因速度之變更而產生光之折射現象
17.下列何者對於物質之鑑別效果最佳?(A)UV-Vis spectrophotometry (B)Raman spectroscopy (C)fluorescence spectrophotometry (D)atomic absorption spectrophotometry
18.在質譜儀中,下列何者之離子最不易產生重排反應?(A)長鏈脂肪酸 (B)對甲基苯乙酸 (C)環己烯衍生物 (D)多氯聯苯
19.進行焰火原子發射光譜法測定時,下列何者對測定值影響最小?(A)與陰離子形成難揮發鹽類 (B)溶液黏滯度不固定 (C)其他元素對放射光之吸收 (D)分析原子游離化 1
20.下列那一個化合物的 H NMR 訊號最接近苯(benzene)上氫的訊號?(A)CH4 (B)CH2Cl2 (C)CH3COCH3 (D)CHCl3
21.下列關於核磁共振儀的敘述,何者正確?(A)使用連續的無線電波(continuous wave)進行激發較脈衝波(pulsed wave)快 (B)連續的無線電波或是脈衝波都需要傅立葉轉換將訊號轉成一般可讀圖譜 (C)每個脈衝波中間需有讓激發的氫核回到基態的緩解時間 (D)用脈衝波所測得的圖譜不能使用氘代溶劑當內標
22.以液相層析質譜儀進行單株抗體藥物的品管分析,下列那種質譜游離法最適合?(A)大氣壓化學游離法(APCI) (B)電子撞擊游離法(EI) (C)電灑法(ESI) (D)化學游離法(CI)
23.有關螢光分光光譜法之描述,下列何者最適當?(A)放射光(emission radiation)較入射光(incident radiation)之波長為短 (B)結構必需具有延伸性助色團(extended auxochrome)與平面鋼性結構(rigid structure) (C)檢體濃度越高時,誤差越大 (D)溶媒性質不會影響螢光強度
24.下列有關質譜分析的敘述,何者錯誤?(A)含鹼性氮原子的藥物可能在酸性溶液中帶電荷而被質譜儀偵測到 (B)帶電荷的藥物分子可進一步片段化 (C)在質譜中,藥物分子的所有碎裂片段都可以被偵測到 (D)溶劑分子有機會跟藥物分子的碎裂片段結合,產生新的離子訊號
25.下列何種方法最適於測定次沒食子酸鉍(bismuth subgallate)中的鉛限量?(A)原子放射光譜法(AES) (B)原子吸收光譜法(AAS) (C)紫外光—可見光光譜法(UV-Vis) (D)傅立葉轉換紅外光光譜法(FT-IR)
26.下列光譜分析儀器,何者之激發與偵測之光徑呈直角?(A)UV-Vis (B)IR (C)near-IR (D)Raman
27.有關四極柱質譜儀(quadrupole mass analyzer)的敘述,下列何者錯誤?(A)透過兩對正交的電極,在不同之施加電壓下,讓離子擾動而分離不同 m/z 的離子 (B)屬高解析度質譜儀,可精準到小數點第三位 (C)定量準確度高,可用於測量生物檢體之藥物濃度 (D)較磁場式質譜儀(magnetic sector mass analyzer)便宜
28.下列質譜儀,何者最不可能提供正確的化合物分子式?(A)磁場式質譜儀(magnetic sector mass analyzer) (B)四極柱質譜儀(quadrupole mass analyzer) (C)飛行時間質譜儀(time of flight mass analyzer) (D)傅立葉轉換式質譜儀(Fourier transform mass spectrometry)
29.有關逆相 HPLC 之固定相敘述,下列何者錯誤?(A)胺丙基矽膠(aminopropyl silica gel)為中度極性固定相,可用於界面活性劑的分析 (B)氰丙基矽膠(cyanopropyl silica gel)為中度極性固定相,可提供偶極-偶極的交互作用力 (C)ODS 為常用固定相,可用於胜肽的分析 (D)辛基矽膠(C8)碳鏈長度較 ODS 短,因此分析物滯留時間一定比較長
30.以 ODS HPLC 分析 bupivacaine(pKa 8.1),移動相為乙腈/Tris buffer(pH 8.4)=40/60,流速 1.0 mL/min,to 為 2.3 min,tR 為 17.32 min。下列何種分析條件的變動可能使樣品有更長的滯留時間? (A)乙腈的百分率提高到 60% (B)流速更換成 0.8 mL/min (C)升高分析溫度 (D)buffer 的 pH 值調整為 7.4
31.有關高效液相層析(HPLC)使用的檢測器之敘述,下列何者錯誤?(A)紫外光檢測器(ultraviolet detector)線性範圍廣,靈敏度佳,屬於通用型檢測器 (B)折射率檢測器(refractive index detector)對移動相組成相當敏感,不適合梯度沖提 (C)螢光檢測器(fluorescence detector)通常使用氙氣燈管激發,靈敏度可達到 ng 等級 (D)電化學檢測器(electrochemical detector)選擇性與靈敏度都非常高,普遍使用於選擇性生物樣品分析
32.下列何者不是等梯度沖提的高效液相層析系統的組成?(A)焰火離子偵測器 (B)層析管 (C)溶劑泵 (D)溶劑槽
33.下列何者不是液相層析法連續重複注入檢品或標準品希望求得之資料?(A)波長 (B)回收率 (C)曳尾因數 (D)管柱效率
34.下列何者無法增加 HPLC 管柱的效率?(A)較小的固定相顆粒 (B)固定相覆蓋較薄 (C)較小的固定相擴散係數 (D)固定相顆粒大小較均勻
35.分析檢品 A 與 B 得到兩個逆相高效液相層析圖(1 與 2),下列何種操作絕對無法由層析圖 1 得到層析圖 2?(A)更換管柱 (B)升高分析管柱溫度 (C)降低有機相比例 (D)降低流速
36.下列何者不是 TLC 常用之固定相?(A)聚矽氧烷(polysiloxane) (B)矽膠 G(silica gel G) (C)纖維素(cellulose) (D)矽藻土 G(kieselguhr G)
37.將 hydrocortisone 與 hydrocortisone acetate 點在矽膠 TLC 片上,在二氯甲烷/乙醚/甲醇/水(77: 15:8:1.2)中展開。若 hydrocortisone acetate 之 Rf 值為 0.51,則 hydrocortisone 之 Rf 值最可能為下列何者? (A)0.20 (B)0.60 (C)0.50 (D)0.05
38.在毛細管電泳法中,分析物之遷移主要依靠下列何者?①電荷泳動力(electrophoretic mobility) ②電滲透流(electro-osmotic flow) ③毛細現象 (A)①③ (B)僅③ (C)②③ (D)①②
39.有關氣相層析法之敘述,下列何者錯誤?(A)毛細管柱比填充管柱的樣品承載量低 (B)聚乙二醇(carbowax)管柱適合分析極性檢品 (C)通常使用氬氣作為攜帶氣體 (D)可用前置衍生法分離光學異構物
40.於高效液相層析法中,有關檢品衍生化之敘述,下列何者錯誤?(A)柱前(pre-column)衍生化可容許的反應時間比柱後(post-column)長 (B)柱後(post-column)衍生化易受樣品中污染物的影響 (C)在柱後(post-column)衍生化中,如生成多種衍生物亦不影響檢品之定性分析 (D)將鏡像異構物衍生化成非鏡像異構物後,可使用無光學活性的層析管柱分析
41.下列何者是第一個利用 DNA 重組技術製備的蛋白質藥物?(A)muromonab-CD3 (B)insulin (C)pepsin (D)interferon alfa-2a
42.關於阿拉伯膠(acacia)之敘述,下列何者錯誤?(A)主成分為 arabinoxylan (B)基原植物為 Acacia senegal (C)通常稱為 gum arabic (D)可能係經由細菌作用而得到的樹膠
43.下列何者不具強心作用?(A)pheasant's eye (B)squill bulb (C)oleander (D)green hellebore 9
44.下列有關∆9 -tetrahydrocannabinol 藥理作用的敘述,何者正確?①可用於抑制化學療法引起之嘔吐 ②可抑制化學療法引起之落髮 ③具止痛作用,但易引起失眠 ④可促進 AIDS 病人之食慾 (A)①② (B)①④ (C)②③ (D)②④
45.下列生藥與其藥用部位之配對,何者正確?(A)khat-leaf (B)ipecac-seed (C)vinca-rhizome (D)physostigma-root
46.下列強心配醣體,何者具有 doubly unsaturated 6-membered lactone ring?(A)glucoscillaren A (B)K-strophanthoside (C)oleandrin (D)convallatoxin
47.Digitoxin 之四環結構(A/B/C/D)相連接關係,依序為何?(A)trans-trans-trans (B)cis-trans-trans (C)cis-trans-cis (D)trans-cis-trans
48.有關 saponins 之敘述,下列何者錯誤?(A)具清潔劑特性(detergent properties) (B)有溶血作用 (C)在水中會形成膠體溶液(colloidal solution) (D)sapogenins 之乙醯化(acetylation)產物,通常較不具結晶性
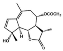
49.水解 cascaroside A(結構如下圖)之 C-8 位置醣基後可得:(A)chrysaloin (B)aloin B (C)aloe-emodin anthrone (D)chrysophanol
50.下列何種生藥的主要醣苷經 myrosinase 水解後可得到葡萄糖與 allyl isothiocyanate 產物?(A)white mustard (B)black mustard (C)garlic (D)wild cherry
51.下列何者屬於 monounsaturated fixed oil 類,且可作為肌肉注射劑的溶劑?(A)coconut oil (B)peanut oil (C)sesame oil (D)corn oil
52.Artemether 是青蒿素(artemisinin)之 methyl ether 衍生物,具有下列何種特性?(A)脂溶性較青蒿素高 (B)可以靜脈給藥 (C)抗瘧作用較青蒿素低 (D)對瘧原蟲(Plasmodium falciparum)的清除效果,較 quinine 弱
53.洋甘菊(Chamomile)已成為常用花草茶之一,下列何者為 guaianolide 倍半萜類成分 matricin 之結構?(A) (B) (C) (D)
54.Taxol(結構如下圖)之 taxane 骨架,具下列何種環系統(ring system)?(A)6/7/6 (B)6/8/6 (C)5/7/6 (D)5/8/6
55.下列何者是 flavonoids 之生合成途徑中主要的中間物?(A)ferulic acid (B)caffeic acid (C)sinapic acid (D)p-coumaric acid
56.有關抗癌活性成分 podophyllotoxin 之敘述,下列何者正確?(A)主要來自 Podophyllum peltatum 葉部 (B)主要活性係具有 trans-lactone ring 結構 (C)具 flavonolignan 架構 (D)具有止瀉作用
57.鞣質在自然界中廣泛存在,其水溶液不易與下列何項物質產生沉澱?(A)gelatin (B)alkaloids (C)heavy metals (D)glucose
58.Myrrh 係採自 Commiphora molmol 植物之那一部位?(A)根 (B)樹皮 (C)葉 (D)果實
59.Theophylline 之基本化學結構如下圖,其取代基為:(A)R1=CH3, R2=R3=H (B)R1=R2=R3=CH3 (C)R1=R2=CH3, R3=H (D)R1=H, R2=R3=CH3
60.Physostigmine 保存不當會使顏色變紅,係因為水解及氧化形成何種化合物所致?(A)rubreserine (B)eseramine (C)physovenine (D)geneserine
61.(-)-Hyoscyamine 和(-)-cocaine 之共同化學架構為:(A)tropane (B)tropic acid (C)phenylacetic acid (D)benzoic acid
62.馬錢子(Nux vomica)的主要生物鹼為:(A)strychnine (B)eserine (C)canescine (D)emetine
63.下列何者為 bloodroot 之主要生物鹼,且會與硝酸或硫酸形成淡紅色(reddish)鹽類?(A)sanguinarine (B)chelerythrine (C)allocryptopine (D)protopine
64.海洛因(Heroin)係下列何者之乙醯化產物?(A)morphine (B)codeine (C)thebaine (D)narcotine
65.下列中藥之基原植物科別,何者不屬於 Asteraceae(Compositae)?(A)蒼耳子 (B)艾葉 (C)蒼朮 (D)細辛
66.中藥補氣藥能增強身體運作力,下列中藥依效能分類,何者不屬於補氣藥?(A)白扁豆 (B)黨參 (C)黃精 (D)大棗
67.有關中藥甘草之敘述,下列何者錯誤?(A)含有生物鹼 anabasine (B)生用具有瀉火作用 (C)通行十二經,具解毒作用 (D)炙甘草常以薑為輔料進行炮製
68.下列何種中藥具有 ligustilide 及 ferulic acid 成分?(A)Polygonati Rhizoma (B)Lycii Fructus (C)Rehmanniae Radix (D)Angelicae Sinensis Radix
69.紅花苷(Carthamin)為中藥紅花之主成分,其化學結構屬於:(A)O-glycosides (B)C-glycosides (C)N-glycosides (D)S-glycosides
70.下列何者為中藥地黃最著名之產地?(A)陝西 (B)河南 (C)浙江 (D)吉林
71.有關中藥葛根之敘述,下列何者錯誤?(A)基原植物之科別為 Fabaceae (B)多為栽培,臺灣產品質優良,產量多 (C)主成分為 lignans 類,具有改善心血管與腦血管循環作用 (D)為辛涼解表藥
72.下列何者不屬於溫裏藥?(A)Aconiti Lateralis Radix (B)Cyperi Rhizoma (C)Foeniculi Fructus (D)Cinnamomi Cortex
73.解表藥柴胡(Bupleuri Radix)所含多醣體具有下列何種藥理作用?(A)中樞神經興奮 (B)抗真菌 (C)免疫調節 (D)強心
74.Honokiol 為下列何種中藥的主要成分之一?(A)厚朴 (B)白朮 (C)金銀花 (D)蛇床子
75.中藥白果所含之成分中,何者會誘發接觸性皮膚炎?(A)ginkgotoxin (B)ginkgolide A (C)ginkgolic acid (D)ginkgetin
76.下列何者具有散瘀生新、和血止痛作用?(A)Dendrobii Caulis (B)Gastrodiae Rhizoma (C)Draconis Sanguis (D)Akebiae Caulis
77.有關中藥三七之敘述,下列何者錯誤?(A)基原植物之科別為百合科 (B)含 ginsenoside Rb1 (C)具化瘀止血之效 (D)孕婦慎服
78.下列何者為中藥射干抗發炎有效成分 tectoridin 之化學分類?(A)木脂素 (B)異黃酮 (C)三萜類 (D)生物鹼
79.功用主治為泄熱解毒,治喉癰、齦腫、痔瘡且含 matrine 的清熱藥為:(A)山豆根 (B)黃連 (C)羌活 (D)白芷
80.清熱藥中有涼血、活血作用,含 naphthoquinones 類成分,可治痘瘡血熱毒盛及心腹邪熱者為:(A)紫草 (B)金銀花 (C)蘆根 (D)玄參