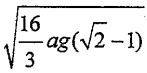
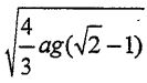
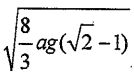
10 A cube of side 2a and mass M is sliding on a frictionless surface with uniform velocity v₀. It hits a small obstacle at the end of the table, which causes the cube to tilt. Find the minimum value of v₀ such that the cube will fall off the table.

(A)
(B)
(C)
(D)
(E)
答案:登入後查看
統計: 尚無統計資料
統計: 尚無統計資料