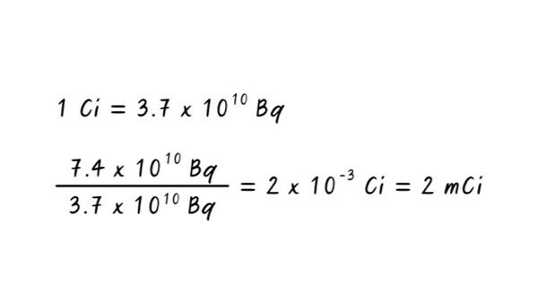
11 有一射源其活性為 7.4×107 Bq,請問該活性相當於下列何者?
(A) 2 μCi
(B) 2 mCi
(C) 3 mCi
(D) 2 Ci
答案:登入後查看
統計: A(3), B(106), C(3), D(9), E(0) #2907456
統計: A(3), B(106), C(3), D(9), E(0) #2907456
詳解 (共 1 筆)
#6168105

0
0