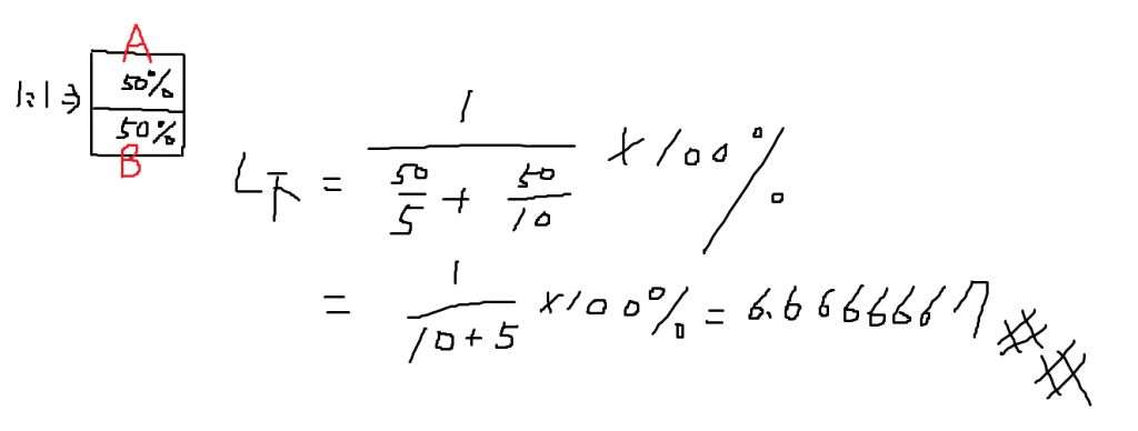
11 某一混合氣體乃氣體 A 與氣體 B 以體積 1:1 混合,此混合氣體之燃燒下限(氣體 A 燃燒下限
5%,氣體 B 燃燒下限 10%)?
(A) 3.3%
(B) 6.7%
(C) 7.5%
(D) 8.5%
答案:登入後查看
統計: A(784), B(5061), C(1294), D(150), E(0) #2019648
統計: A(784), B(5061), C(1294), D(150), E(0) #2019648

