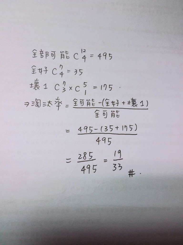
11. 有一家工廠生產燈泡,12個裝成一盒。工廠品質檢驗的方法是從每盒中任取4個來檢查,如有兩個或兩個以上的燈泡是壞的,則整盒淘 汰。若某一盒有5個壞燈泡,則這一盒會被淘汰的機率是?
(A)
(B)
(C)
(D)
(A)
(B)
(C)
(D)

答案:登入後查看
統計: A(1115), B(405), C(493), D(352), E(0) #2026851
統計: A(1115), B(405), C(493), D(352), E(0) #2026851
詳解 (共 7 筆)
#3787529

195
0
#3472048

98
1
#4133644
機率苦手的想法:找出接近5/12的選項→A
22
3