12.在prednisolone acetate(如下圖)之紅外光光譜中,下列何者最可能為1、2號羰基(carbonyl group)之吸收峰 位置?
(A)
(B)
(C)
(D)
統計: A(768), B(996), C(3265), D(532), E(0) #2624517
詳解 (共 10 筆)
非共軛酮大1700一點
共軛酮小1700一點

★ A吸收帶:Alcoholic OH stretch;3140-3600 cm -1
★ B吸收帶: C-H stretch;2750-3122 cm -1
★ C吸收帶:Ketone stretch(C-20 位上);1705 cm -1
★ D吸收帶:Ketone stretch(C-3 位上);1655 cm -1
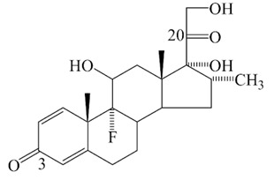
(95-2)44 由 dexamethasone(結構如下)之 KBr 錠,所得紅外線吸收光譜,其主要吸收帶(band)為 A: 3140- 3600 cm -1;B: 2750 - 3122 cm -1;C: 1705 cm -1;D: 1655 cm -1;則此 D 吸收帶最可能為下列何基團之吸收?
(A) Alcoholic OH bending
(B) Alcoholic OH stretch
(C) Ketone stretch(C-20 位上)
(D) Ketone stretch(C-3 位上)
(97-1)34 由 dexamethasone(結構如下)之 KBr 錠,所得紅外線吸收光譜,主要吸收帶(band)為 A: 3140-3600 cm - 1;B: 2750-3122 cm - 1;C: 1705 cm - 1;D: 1655 cm - 1;則此 B 吸收帶最可能為下列何基團之吸收?
(A) O-H stretch
(B) C-H stretch
(C) C=O stretch
(D) C=C stretch
(100-1)17 由dexamethasone(結構如下)之KBr錠,所得紅外線吸收光譜,主要吸收帶(band)為A: 3140-3600 cm -1;B: 2750-3122 cm -1;C: 1705 cm -1;D: 1655 cm -1;則此A吸收帶最可能為下列何基團之吸收?
(A) Alcoholic OH stretch
(B) C-H stretch
(C)C =O stretch
(D)C =O stretch 20
(103-1)28.Dexamethasone之紅外光光譜主要吸收帶(band)為 A: 3140-3600 cm-1;B: 2750-3122 cm-1;C: 1705 cm-1;D: 1655 cm-1;則A吸收帶係下列何基團之吸收?
(A) O–H bending
(B) O–H stretching
(C) C–H stretching
(D) C=O stretching
(109-1)7.Dexamethasone之紅外光光譜主要吸收帶為A: 3140-3600 cm-1;B: 2750-3122 cm-1;C: 1705 cm-1;D: 1655 cm-1;則B吸收帶係何基團之吸收?
(A)O–H bending
(B)O–H stretching
(C)C=O stretching
(D)C–H stretching
|
C=O |
1780~1765 |
Lactam |
|
|
1757 |
ester |
|
|
1740 |
Carboxylic acid salts(-COOK)(未共軛) |
|
|
1690 |
Carboxylic acid(共軛) |
|
|
1710 |
Steroids(C20)(未共軛酮) |
|
|
1660 |
Steroids(C3)(共軛酮) |
|
|
1690 |
Amines |
|
N-H (Amide) |
>3000 |
伸展Stretching |
|
|
1580 |
彎曲bending |
|
SO2 |
1350~1150 |
伸展Stretching |
|
C三N |
2250+3300 |
伸展Stretching |
波數=吸收強度=電負度
伸展Stretching>彎曲bending
未共軛>共軛
陰電性(F>O>Cl>N)
鍵數(3>2>1)
共軛的差距約50
-COOH背醋酸可以餾酒(69)
Steroids背類固醇類是油油(66)的