12.已知浦朗克常數(Planck’s constant)為6.63 × 10-34 Js。某X光管所加高電壓為70 kV,則 所生成X光的最短波長約為多少奈米(nm)?
(A)0.0178
(B)0.2840
(C)0.0568
(D)0.1420
答案:登入後查看
統計: A(1236), B(139), C(130), D(54), E(0) #1042712
統計: A(1236), B(139), C(130), D(54), E(0) #1042712
詳解 (共 3 筆)
#1242741
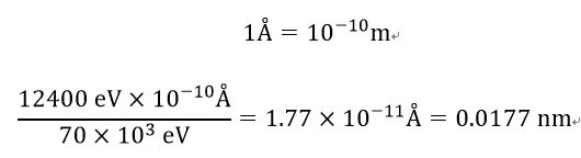
E=h*c/ λ
E:能量 h:浦朗克常數 c:光速(3*10^8 m/s) λ:波長 1ev=1.6*10^-19 J 1kev=1.6*10^-16 J
70*1.6*10^-16 =( 6.63 × 10-34 *3*10^8)/ λ
λ =1.775*10^-11 m 換單位成nm nm=10^-9 m
λ =1.775*10^-2 nm
18
2
#5431816

0
0