阿摩線上測驗
登入
首頁
>
專技 - 藥物分析與生藥學(包括中藥學)
>
101年 - 101-2 專技高考_藥師:藥物分析與生藥學(包括中藥學)#9920
> 試題詳解
試題詳解
試卷:
101年 - 101-2 專技高考_藥師:藥物分析與生藥學(包括中藥學)#9920 |
科目:
專技 - 藥物分析與生藥學(包括中藥學)
試卷資訊
試卷名稱:
101年 - 101-2 專技高考_藥師:藥物分析與生藥學(包括中藥學)#9920
年份:
101年
科目:
專技 - 藥物分析與生藥學(包括中藥學)
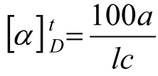
12.某一藥物(2.0% (w/v) in 0.1 M HCl)在25 ℃,鈉D線為光源,在1 dm之儲液管,測得旋光度α= - 0.80,則其〔α〕值為何?
(A)- 0.4°
(B)- 0.8°
(C)- 4°
(D)- 40°
正確答案:
登入後查看
詳解 (共 3 筆)
整古大師
B5 · 2020/07/02
推薦的詳解#4107915
未解鎖
提供一個簡單的思考方式: 比旋光度,不...
(共 126 字,隱藏中)
前往觀看
14
0
Panbosin
B4 · 2020/07/02
推薦的詳解#4107342
未解鎖
比旋光度[α]= 100α / Lc
(共 20 字,隱藏中)
前往觀看
3
1
誠徵有心撰寫二階筆記的綿木蜜雪兒,我會提供20天詳解卡,意者請加好友
B6 · 2025/06/29
推薦的詳解#6511463
未解鎖
揮發油測定 —------------...
(共 19313 字,隱藏中)
前往觀看
0
0