13.根據Karplus公式,下列何種雙面夾角的偶合常數(3J)值最大?
(A)180°
(B)45°
(C)90°
(D)60°
答案:登入後查看
統計: A(3200), B(391), C(994), D(233), E(0) #2969497
統計: A(3200), B(391), C(994), D(233), E(0) #2969497
詳解 (共 8 筆)
#5588246
偶和常數 J coupling 與 orbital 的 overlap 程度有關,overlap 越多,coupling constant 越大

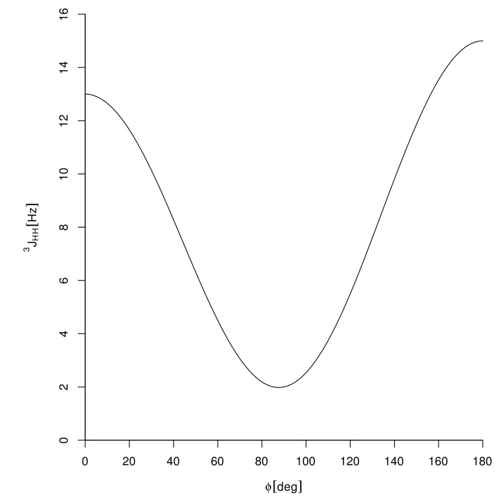
從這關係,我們就能知道最大值應發生在夾角 0 度或 180 度,其中夾角 180 度的 overlap 程度最高,所以 coupling constant 最大,下圖是一般 NMR 課程都會提到夾角與 coupling constant 大小的關係圖

這個原理也用來解釋為什麼 E isomer 的 coupling constant 會比 Z isomer 大

從這關係,我們就能知道最大值應發生在夾角 0 度或 180 度,其中夾角 180 度的 overlap 程度最高,所以 coupling constant 最大,下圖是一般 NMR 課程都會提到夾角與 coupling constant 大小的關係圖

這個原理也用來解釋為什麼 E isomer 的 coupling constant 會比 Z isomer 大
68
0
#6162926
搬運我在109-2那邊11.的詳解,結果隔兩年真的考出來了
ㅤㅤ
首先,先來解釋以下這張圖

這是葡萄糖的立體構型,會具有torsion angle,因此造成了偶合常數之差異
ㅤㅤ
#這邊就是有機化學的範圍,簡單複習一下,就是C-C上的H會各自在空間中擠壓,其中可以分為錯開式staggered和重疊式eclipsed
錯開式staggered:不同碳上的2個H在空間上剛好完全錯開,互相不擠壓,所以能量低
重疊式eclipsed:不同碳上的2個H在空間上互相擠壓,所以能量高

因此,我們可以推論出
Jax-eq=2~3 < Jax-ax=7~9
ㅤㅤ
但這時候,你會發現Jeq-eq=1~2,明明都是佔據水平軸的空間,為甚麼能量低到靠杯呢?
我這邊比較傾向推測,上圖的Jeq-eq出現是在3J以外的距離,所以能量就很低(但我沒有其他證據證明)
因此,α-form或β-form glucose:Jax-ax>Jax-eq>Jeq-eq
ㅤㅤ
然後,我們再來看這次題目tranexamic acid給予的條件:(這邊借用前人的中文圖本,大感謝!)


我們可以得知課本有寫說
2a3a : 9~13Hz
2a3e和2e3e: 2~5Hz
2a3e和2e3e: 2~5Hz
其中2a3a和2a3e在剛才的解釋中有寫了,我們來探討2e3e的部分(也就是Jeq-eq的部分):
ㅤㅤ
如果依照我剛剛解釋,一樣都是佔據水平軸的空間上會互相擠壓,所以能量也會比較高
但是Jeq-eq卻又比Jax-ax還要低,以下這張圖可以證明:
(Jeq-eq為0度,Jax-ax為180度,Jax-eq為90度)

但是你如果要問我,為什麼Jeq-eq比Jax-ax還要低,這點可能要先跟其他高手討論了,我目前只能看圖說故事QQ
從上圖可以得出結論:3J的距離下,Jax-ax>Jeq-eq>Jax-eq
ㅤㅤ
那現在來講一下全部結論:
1.α-form或β-form glucose:Jax-ax>Jax-eq>Jeq-eq
(這個超出3J的範圍所以特別低)
2.tranexamic acid:3J的距離下,Jax-ax>Jeq-eq>Jax-eq
主要判斷準則就是看空間中有沒有互相擠壓,然後垂直會擠壓比水平還要嚴重一些,如果之後出其他結構,也可以用一樣的想法去判斷
至於數字沒有甚麼好推論,就背起來吧
| glucose | tranexamic acid | |
| Jax-ax | 7-9 | 9-13 |
| Jax-eq | 2-3 | 2-5 |
| Jeq-eq | 1-2 | 2-5 |
ㅤㅤ
以上是本人的小想法,如果有任何觀念錯誤請麻煩告知我一下,感謝!
16
0
#6527699

from 靜茹藥分
1
0