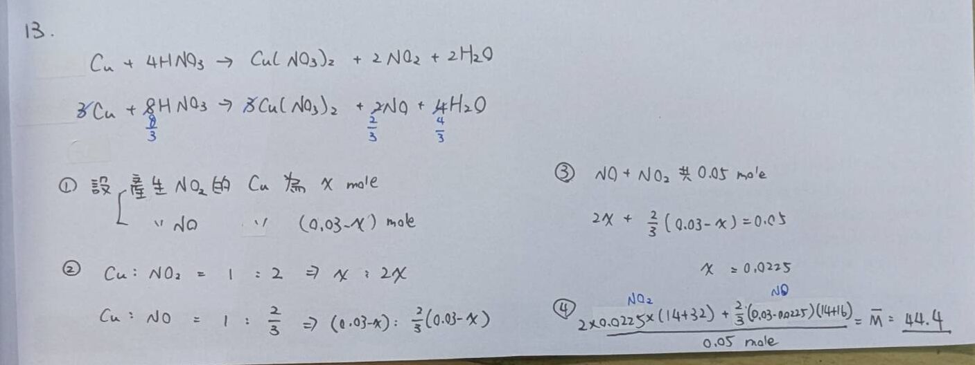
13. 取 0.03 莫耳 Cu 完全溶於硝酸,產生氮的氧化物(NO、NO2)的混合氣體共0.05 莫耳,該混合氣體的平均分子量為何?
(A)36
(B)40
(C)42.8
(D)44.4。
答案:登入後查看
統計: A(0), B(1), C(2), D(3), E(0) #3231024
統計: A(0), B(1), C(2), D(3), E(0) #3231024
詳解 (共 1 筆)
#6416304

0
0