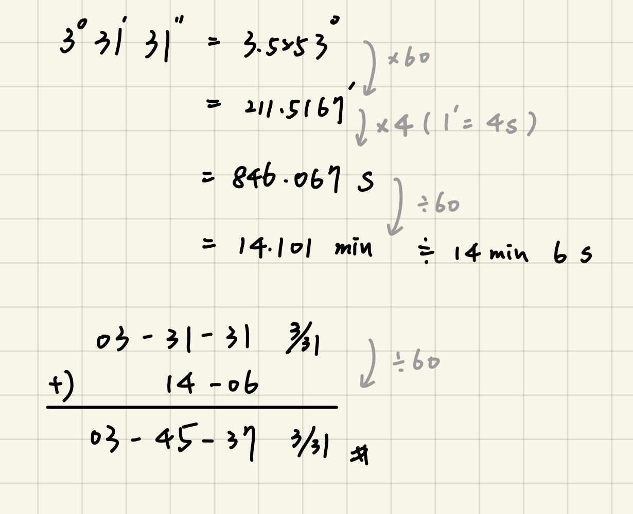
13. 已知ZT為3月31日03-31-31,DR為L03°31'31"N、λ003°31'31"E,求LMT?
(A) LMT為3月31日03-45-37
(B) LMT為3日31日03-17-25
(C) LMT為4月1日03-17-25
(D) LMT為4月1日03-45-37
答案:登入後查看
統計: A(469), B(177), C(32), D(37), E(0) #3076860
統計: A(469), B(177), C(32), D(37), E(0) #3076860
