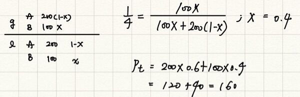
14. 定溫下,A、B 兩種液體的飽和蒸氣壓分別為 200 mmHg 與 100 mmHg,若 A、B 兩液體混合形成理想溶液,其蒸氣相中 B 的莫耳分率為 0.25,則溶液的蒸氣壓為多少 mmHg?
(A) 150
(B) 160
(C) 175
(D) 300
答案:登入後查看
統計: A(8), B(259), C(150), D(7), E(0) #3097959
統計: A(8), B(259), C(150), D(7), E(0) #3097959
詳解 (共 5 筆)
#7327243

考拉午耳定律~溶液的組合影響蒸汽壓
4
0
#7164055
[混和溶液的蒸氣壓、莫耳分率—相關考古題]
50. 假設苯和甲苯互溶形成理想溶液,在25oC時,苯的蒸氣壓為a毫米汞柱,甲苯的蒸氣壓為b毫米汞柱,下列敘述何者正確?
(A) b > a
(B) 當溶液中苯的莫耳分率為0.5時,溶液的蒸氣壓為 (a+b)/2
(C) 苯和甲苯混合互溶的過程為放熱反應
(D) 苯和甲苯之分子間沒有作用力
答案:B
ㅤㅤ
與97中國醫內轉(43)相同
22. 液體 A 之蒸氣壓(vapor pressure)為 x,液體 B 之蒸氣壓(vapor pressure)為 y。A、B 兩液體混合後,測得混合液體的蒸 氣中有 30%的 A,則 A 在混合液體中的莫爾分率(mole fraction)為何?
(A) 0.3y/(0.7x + 0.3y)
(B) 0.7y/(0.3x + 0.7y)
(C) 0.3x/(0.3x + 0.7y)
(D) 0.7x/(0.7x + 0.3y)
答案:A
ㅤㅤ
20. 有一苯及甲苯的混合溶液,在其溶液上的蒸氣中發現苯的莫耳分率為 0.600,請問甲苯在溶液中的莫耳分率為何?(純苯的蒸氣壓為 750 torr;甲苯的蒸氣壓為 300 torr)
(A) 0.286
(B) 0.375
(C) 0.400
(D) 0.600
(E) 0.625
答案:E
ㅤㅤ
23. 丙酮的蒸氣壓為 266 torr,當一非揮發性溶質加入後丙酮的蒸氣壓降為 232 torr,請問此非揮發性溶質的莫耳分率?
(A) 0.87
(B) 0.69
(C) 0.32
(D) 0.13
答案:D
ㅤㅤ
12. 假設戊烷
和己烷
混合後的溶液為理想溶液,當己烷在混合溶液中的莫耳分率 為 0.50 時,試計算該溶液在 25 °C 下,液面上蒸氣中戊烷的莫耳分率。(戊烷和己烷在 25 °C 下的蒸汽壓分別為 511 torr 和 150 torr)
和己烷
混合後的溶液為理想溶液,當己烷在混合溶液中的莫耳分率 為 0.50 時,試計算該溶液在 25 °C 下,液面上蒸氣中戊烷的莫耳分率。(戊烷和己烷在 25 °C 下的蒸汽壓分別為 511 torr 和 150 torr)(A) 0.23
(B) 0.50
(C) 0.77
(D) 0.89
答案:C
ㅤㅤ
與103中國醫(7)相同
25. 液體 A 的蒸氣壓為 x,液體 B 的蒸氣壓為 y,且 x > y。如果溶液上方的蒸氣為 50% A, 則液體混合物中 A 的莫耳分率是多少
(A) x/(x + y)
(B) y/(x + y)
(C) x/(2x + 2y)
(D) y/(2x + 2y)
答案:B
2
0