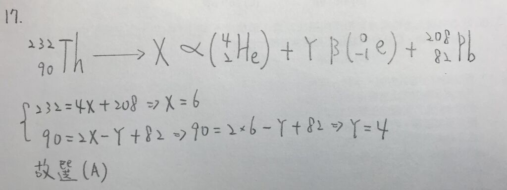
17. 台灣南部海岸沙灘中的獨居石,北投溫泉所產出的北投石,皆含有放射性元素
, 經過多次的 α 衰變和 β 衰變,最後變成穩定核種
,這過程共經歷幾次的 α 衰變和 幾次的 β 衰變?
(A) 6α,4 β
(B) 4α,6 β
(C) 2α,6 β
(D) 6α,2 β
答案:登入後查看
統計: A(24), B(2), C(6), D(8), E(0) #2918266
統計: A(24), B(2), C(6), D(8), E(0) #2918266
詳解 (共 1 筆)
#5683906

0
0