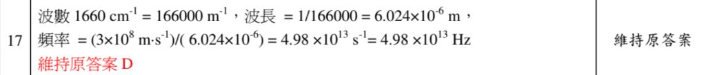
17. 碳碳雙鍵可吸收波數為 1660 cm-1 的電磁波後發生伸張運動,關於與此電磁波的敘述何者 正確?
(A) 波長為 602 nm,為可見光
(B) 波長為 5530 nm,為紅外光
(C) 頻率為 4.98×1011 Hz,為微波
(D) 頻率為 4.98×1013 Hz,為紅外光
答案:登入後查看
統計: A(32), B(25), C(13), D(88), E(0) #2173744
統計: A(32), B(25), C(13), D(88), E(0) #2173744
