18.關於比旋光度值計算式:[α]D = 100α/lc之敘述,下列何者錯誤?
(A)貯液槽之長度為10 cm
(B)使用光源之波長為589 nm
(C)檢品濃度c 之單位為g/mL
(D)水可作為溶媒
答案:登入後查看
統計: A(476), B(226), C(3610), D(778), E(0) #2864986
統計: A(476), B(226), C(3610), D(778), E(0) #2864986
詳解 (共 9 筆)
#5909309
影響因素
旋光度 : 波長、溶劑、溫度、管長、濃度
比旋光度 : 波長、溶劑、溫度、分析物構造
1.下列何者不會影響藥品的比旋光度(specific rotation)?
(A) 溫度
(B) 溶劑
(C) 燈源波長
(D) 貯液管長度
ㅤㅤ
答案:D
專技 - 藥物分析與生藥學(包括中藥學)-107年 - 107-1 專技高考_藥師、藥師(一):藥物分析與生藥學(包括中藥學)#67576
24.比旋光度常應用於具光學活性藥物的鑑別,下列何者不具有旋光度?
(A) 阿斯匹靈(aspirin)
(B) 維生素C(ascorbic acid)
(C) 樟腦(camphor)
(D) 阿卡波糖(acarbose)
ㅤㅤ
答案:A
33 下列何者影響化合物的比旋光度?
(A) 溶液的濃度
(B) 檢品溶液的比重
(C) 貯液管的長度
(D) 光源的波長
ㅤㅤ
答案:D
63 溶液比旋光度(Specific rotation)的大小,不隨下列何者而變化?
(A) 溶液之酸鹼度
(B) 溫度
(C) 使用光之波長
(D) 分析物構造
ㅤㅤ
答案:A
13
0
#5724426
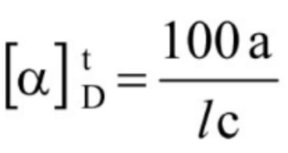
比旋光度
a,納光 D 線、25 ℃ 下測得之液體旋光度
l,儲液管長度 (dm),一般為 1 dm = 10 cm
c,溶液濃度 (% w/v)
# 測定溫度為 25 ℃ ,光源為納燈之 D 線 (589.0 nm、589.6 nm)
可鑑別藥物真偽,純雜,精確度至少0.02度
揮發油(精油):有光學活性
脂肪油:缺光學活性,不用旋光度鑑別
8
1
#7261415
自用memo 我常搞混
UV-Vis的Beer-Lambert
儲液管長度(cm),通常是1 cm
濃度愛考E(1% 1cm)跟A(1% 1cm),他們的單位都是g/100mL
旋光度測定法
比旋光度 100a/lc那邊
l 儲液管長度(公寸dm),1 dm =10 cm = 100mm
c 濃度,單位是g/100ml
0
0