2.經迴旋加速器製造的核種,下列何者半衰期最短?
(A)以質子射束轟擊
靶,進行(p, α)反應
(B)以質子射束轟擊
靶,進行(p, α)反應
(C)以質子射束轟擊
靶,進行(p, n)反應
(D)以質子射束轟擊
靶,進行(p, n)反應
答案:登入後查看
統計: A(83), B(48), C(198), D(71), E(0) #3491910
統計: A(83), B(48), C(198), D(71), E(0) #3491910
詳解 (共 1 筆)
#6594287
α是氦原子核,以下我用
呈現
ㅤㅤ
(A) 以質子射束轟擊16O靶,進行(p, α)反應
產生出的核種是13N,13N的半衰期是10分鐘
ㅤㅤ
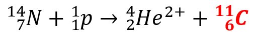
(B) 以質子射束轟擊14N靶,進行(p, α)反應
產生出的核種是11C,11C的半衰期是20分鐘
ㅤㅤ
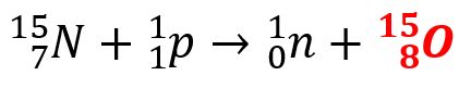
(C) 以質子射束轟擊15N靶,進行(p, n)反應

產生出的核種是15O,15O的半衰期是2分鐘
ㅤㅤ
(D) 以質子射束轟擊18O靶,進行(p, n)反應

產生出的核種是18F,18F的半衰期是110分鐘
ㅤㅤ
以上四種核種最短的是15O(半衰期2分鐘)
15
0