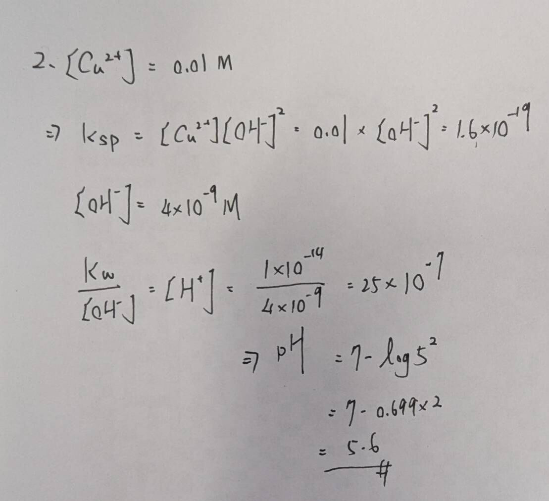
2. 葉教授為了模擬土壤中的重金屬因土壤酸化而溶解出來,做了下面的實驗:步驟一:於一升的水中加入 0.01 莫耳的 Cu(OH)2(S)。步驟二:逐滴加入酸,直到沉澱恰好完全溶解,測得溶液 pH 值= X。(設體積仍為一升) 假設實驗在 25℃的恆溫下進行,且 Cu(OH)2(S)的 Ksp=1.6×10-19,則 X 的數值最接近 下列何者?
(A)4.4
(B)5
(C)5.6
(D)6。
(A)4.4
(B)5
(C)5.6
(D)6。
答案:登入後查看
統計: A(1), B(0), C(4), D(1), E(0) #3231013
統計: A(1), B(0), C(4), D(1), E(0) #3231013
詳解 (共 1 筆)
#6411150

0
0