阿摩線上測驗
登入
首頁
>
統測◆05化工群◆化工原理(基礎化工、化工裝置)
>
110年 - 110 四技二專統測_化工群_專業科目(二):化工原理(基礎化工、化工裝置)#98531
> 試題詳解
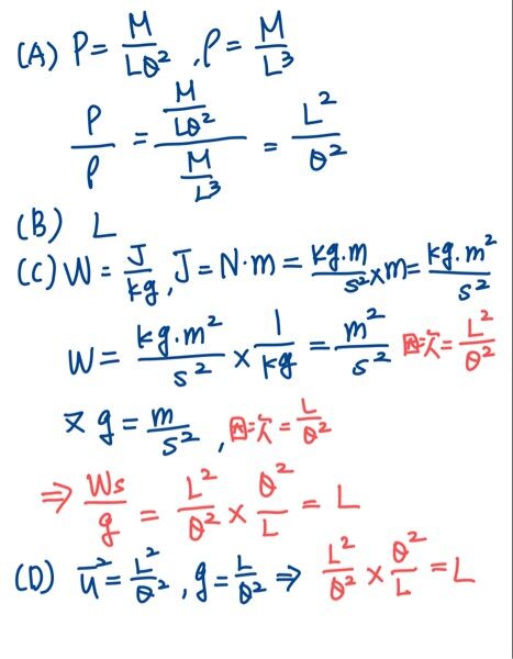
35. 流體在管路系統中流動,若
分別代表平均流速、高度、壓力、 軸功、摩擦損失、流體密度、重力加速度。下列何者的單位與其他三者
不同
?
(A) P / ρ
(B) z
(C)
(D)
答案:
登入後查看
統計:
A(87), B(46), C(24), D(8), E(0) #2697606
詳解 (共 1 筆)
本筑大人
B1 · 2024/09/17
#6211476
1
0
私人筆記 (共 1 筆)
考上之前我只是個廢材
2021/05/08
私人筆記#3052829
未解鎖
(共 0 字,隱藏中)
前往觀看
0
4
相關試題
1. 下列有關晶系的敘述,何者正確? (A) 晶系主要可分為六大晶系 (B) 六方晶系晶格的三個晶軸長均相等 (C) 立方晶系晶格內,原子的填充率以簡單立方堆積最大 (D) 斜方晶系的三個晶軸夾角均相等
#2697572
2. 下列有關各種晶體特性的敘述,何者正確? (A) 離子固體具有高熔點、高沸點及高導電度 (B) 分子固體中,分子與分子間的作用力主要為凡得瓦 ( Van der Waals ) 力 (C) 網狀固體具有高熔點、高硬度及高導電度 (D) 金屬固體是由陰、陽離子以庫倫 ( Coulomb ) 靜電引力規則排列而成
#2697573
3. 儀器感知變化量對輸入變化量的比值 , 是指工業測量儀器的何種性能? (A) 靈敏度 ( sensitivity ) (B) 解析度 ( resolution ) (C) 準確度 ( accuracy ) (D) 再現性 ( repeatability )
#2697574
4. 下列何種流量計,適用於大流量及磨擦損失小的流量之量測? (A) 流嘴 ( flow nozzle ) (B) 文氏管 ( Venturi tube ) (C) 皮氏管 ( Pitot tube ) (D) 流板孔 ( orifice plate )
#2697575
複選題5. 下列何種濕度計,可用於量測相對濕度? (A) 露點溼度計 (B) 乾濕球濕度計 (C) 毛髮濕度計 (D) 毛細管濕度計
#2697576
6. 下列有關回饋控制系統的敘述,何者正確? (A) 屬開環路控制系統 (B) 回饋控制主要由測量元件所掌控 (C) 可經循環控制,使量測值接近於目標值 (D) 屬人工控制方式
#2697577
7. 下列何種品質管制方式統計各種瑕疵項目的發生次數,藉以瞭解工廠管理的問題所在和 影響的程度? (A) 檢查表 (B) 柏拉圖 ( Pareto diagram ) (C) 散佈圖 (D) 直方圖
#2697578
8. 某混合器中有 500 公斤 硫酸溶液,內含硫酸的質量百分率為 10 %,欲得到 20 %質量百分率 的硫酸溶液,則需加入 80 %質量百分率的硫酸溶液若干公斤? (A) 83.3 (B) 156.5 (C) 249.5 (D) 583.3
#2697579
9. 在 30 °C 時,某結晶槽裝有 10,000 kg Na2CO3 飽和水溶液。若溶液冷卻至 20 °C ,將有若干公斤 Na2CO3 .10H2O 會析出? ( Na2CO3 式量 106 g / mol ; 30 °C 時 Na2CO3 之溶解度為 38.8 g Na2CO3 / 100 g H2O ; 20 °C 時 Na2CO3 之溶解度為 21.5 g Na2CO3 / 100 g H2O ) (A) 450 (B) 5263 (C) 6100 (D) 7865
#2697580
10. 某連續流反應槽中,進行丙烷脫氫反應時,若純丙烷進料流量為 100 mol / h,供應熱量為 5607 kJ / mol,進料與產物溫度皆為 1025 °C ,則丙烷的轉化率為何? ( 已知 25 °C 時, △ H = 87.9 kJ / mol,平均莫耳熱容量分別為: :150 J / mol ·°C ; :120 J / mol ·°C ; :29 J / mol ·°C ) (A) 0.550 (B) 0.645 (C) 0.770 (D) 0.810
#2697581
相關試卷
114年 - 114 身心障礙學生升學大專校院甄試試題_四技二專組(化工群):基礎化工、化工裝置#137228
2025 年 · #137228
114年 - 114 四技二專統測_化工群_專業科目(一):基礎化工、化工裝置#134062
2025 年 · #134062
113年 - 113 四技二專統測_化工群_專業科目(一):基礎化工、化工裝置#125703
2024 年 · #125703
113年 - 113 身心障礙學生升學大專校院甄試試題_四技二專組_化工群_專業科目(一):基礎化工、化工裝置#125680
2024 年 · #125680
112年 - 112 四技二專統測_化工群_專業科目(一):基礎化工、化工裝置#116834
2023 年 · #116834
111年 - 111 身心障礙學生升學大專校院甄試試題_四技二專組_化工群_專業科目(一):基礎化工、化工裝置#118887
2022 年 · #118887
111年 - 111 四技二專統測_化工群:專業科目(一)基礎化工、化工裝置#107816
2022 年 · #107816
110年 - 110 四技二專統測_化工群_專業科目(二):化工原理(基礎化工、化工裝置)#98531
2021 年 · #98531
109年 - 109 四技二專統測_化工群_專業科目(二):化工原理(基礎化工、化工裝置)#85137
2020 年 · #85137
108年 - 108 四技二專統測_化工群_專業科目(二):化工原理(基礎化工、化工裝置)#79928
2019 年 · #79928