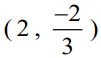
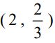
3. 已知直線 L1 :2 x+3 y =4 與直線 L2 相互平行。若 L1 的x 截距為a, L2 的斜率為m,則 ( a , m ) =?
(A)
(B)
(C)
(D)
答案:登入後查看
統計: 尚無統計資料
統計: 尚無統計資料
3. 已知直線 L1 :2 x+3 y =4 與直線 L2 相互平行。若 L1 的x 截距為a, L2 的斜率為m,則 ( a , m ) =?
(A)
(B)
(C)
(D)