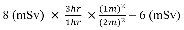
3. 某工作人員距某點射源1公尺處工作1小時接受了8 mSv的劑量,則若其在距此射源2公尺處工作3小時,所接受之劑量為多少mSv?
(A) 2
(B) 4
(C) 6
(D) 8
答案:登入後查看
統計: A(13), B(27), C(204), D(16), E(0) #3294773
統計: A(13), B(27), C(204), D(16), E(0) #3294773
詳解 (共 1 筆)
#6360820
劑量和時間成正比,在有輻射的地方待得越久、劑量越高
劑量和距離平方成反比,離輻射越遠,接受的劑量越低
ㅤㅤ
進入計算:

ㅤㅤ
ㅤㅤ
1
0