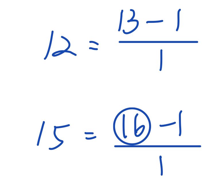
31.A、B混合物以HPLC進行分析,移動相流速為1.2 mL/min,已知A之滯留因子(capacity factor,k'A)為12.0, 滯留時間13.0 min。若B之滯留因子(k'B)為15.0時,則其滯留時間約為多少min?
(A)16
(B)13
(C)19
(D)12
答案:登入後查看
統計: A(5186), B(281), C(420), D(205), E(0) #2624536
統計: A(5186), B(281), C(420), D(205), E(0) #2624536
詳解 (共 10 筆)
#4838577
到底這種題目誰會用比例算==害我還花了珍貴的鑽石開
162
9
#6510619

15
0
#4948265
1F可以寫出那樣的公式真的是天才。
10
12
#6147700
滯留因子「正相關」於滯留時間
分母t0相同,分子越大所得數值越大
B滯留因子大於A,可知其滯留時間也大於A
不用算
5
0